Центр ситуационного анализа и прогнозирования ЦЭМИ РАН

Decision Support and Forecasting Center CEMI RAS

 

 

 

 

Регионы России

 

Институциональные и социально-экономические факторы развития регионов РФ и их взаимосвязь.

 

Анна Вайнберг

Международное объединение СОЛЕВ

anna@solev.ru

Татьяна Рыбникова,

Центральный Экономико-Математический Институт РАН

tanyar@cemi.rssi.ru

 

Значение институтов для развития экономики стало общепризнанным фактом современной экономической науки [Polterovich, Popov]. Но возникают следующие вопросы: что важнее, сильное правительство или демократические выборы. Как влияет мультиэтнический состав общества на коррупцию в нем? (См. [Истерли]). Как измерить гражданское общество, какое влияние оказывает законодательство, и какое - его неуклонное применение?
Задавшись всеми этими вопросами, мы начали свое исследование.

 

Цель данной работы – исследовать взаимосвязь ключевых характеристик качества жизни населения и институциональных показателей регионов России. Проверить гипотезы о значимом влиянии институциональных факторов на характеристики качества жизни регионов. Подобная задача активно обсуждается в межстрановых исследованиях.

Связь с другими исследованиями

В работе [Rodrik, Subramanian, Trebbi] сравнивается вклад институциональных, географических факторов и торговли в определение уровней дохода стран мира. Делается вывод, что вклад институтов превосходит вклад географических факторов и торговли. При включении в регрессионное уравнение переменной «качество институтов» географические факторы (кроме наличия нефти) теряют свое влияние, факторы торговли становятся незначимыми и даже входят с противоположным знаком.

Интересно было исследовать эту связь для регионов России. Конечно, здесь ситуация другая. Многие институты определяются на государственном уровне, и «правила игры», и защищенность контрактов и права собственности меньше варьируются от региона к региону. Большую роль для регионов играют географические факторы. И не ожидая, что разница институтов будет играть главную роль, мы хотели проверить ее влияние на благополучие регионов.

В работе [Айвазян 1] исследуется влияние институциональных факторов и элементов социально-экономической политики на характеристики качества жизни населения для 60 стран и регионов мира и выявляются факторы, препятствующие улучшению качества жизни населения России на фоне признаков экономического роста.

Две эти работы и побудили нас провести данное эконометрическое исследование. Институциональные факторы развития регионов России изучены пока довольно мало. Однако такие исследования уже велись. Зависимость экономического благосостояния регионов и его трансформации от институциональных факторов исследовалось в работах [Попов], [Яновский и др.].

В первой из указанных работ строятся регрессии, объясняющие динамику производства, среди независимых переменных есть институциональные факторы: (1) доля занятых на малых предприятиях и изменение этой доли, (2) уровень преступности и изменение преступности в переходный период, (3) индексы инвестиционного риска в регионе, (4) доля теневой экономики в доходах, производстве, занятости. Многие из этих показателей имеют предсказуемый знак в регрессиях, и статистически значимы.

Во второй работе изучается влияние политических и правовых факторов на экономическое развитие российских регионов. В работе предпринята попытка формально описать институциональные факторы (законодательство и особенности правоприменительных практик) и построить модель, иллюстрирующую значение различных факторов для экономического развития регионов. Основным выводом работы является утверждение о наличии значимого влияния институтов на экономическое развитие. Причем, наиболее значимыми оказались гарантии базовых прав личности.

В отличие от указанных работ мы рассматриваем в качестве зависимых переменных такие результирующие категории качества жизни населения, как качество населения, уровень развития человеческого потенциала, качество социальной сферы, уровень благосостояния.
Список институциональных факторов среди объясняющих переменных расширен. Расширен диапазон методов анализа.
В работе решены следующие задачи:

  1. Создана база данных институциональных и географических факторов развития регионов РФ

  2. Выбран перечень результирующих (критериальных) синтетических категорий качества жизни населения

  3. Выбран априорный набор объясняющих переменных

  4. С помощью графических моделей показана взаимосвязь отобранных переменных

  5. Регионы РФ классифицированы по качеству некоторых институциональных факторов

  6. Для каждой из результирующих переменных выбран апостериорный набор объясняющих переменных, проведена их унификация и построена регрессионная зависимость

  7. Результаты проинтерпретированы

База данных институциональных и географических факторов развития регионов России.

Основным результатом данного исследования явилось составление единой базы данных, объединяющей социально-экономические данные Госкомстата, институциональные переменные, индикаторы качества жизни и качества населения, результаты различных исследований и опросов. База данных опубликована в Информационно-Аналитической Системе Социально-Экономических Показателей (ИАССЭП) на сайте ЦЭМИ РАН http://server1.data.cemi.rssi.ru/isepweb/anal/geofact.htm.

О применяемых методах.

Наличие подобной комплексной базы данных переменных также требует применения комплексных методов статистического анализа.

Ниже мы описываем результаты, полученные при помощи

  • - регрессионного анализа

  • - графических моделей

  • - кластерного анализа

Наличие такой базы позволяет проверить гипотезы теории институциональной экономики в применении к российским регионам.

База данных имеет следующую структуру:

Природные условия (комфортность проживания)

  • Жесткость природных условий

Периферийность и приграничность

  • Наличие «эффективных» границ

  • Плотность автомобильных и железных дорог

Условия для предпринимательской активности

Индикатор: число малых предприятий

  • Эффективность бюрократической системы (в. т. ч. коррупция)

  • Уровень защищенности контрактов и прав собственности

  • Доступность информации, «понятность» правил игры, ограничения на вхождение в рынок

  • Политическое доверие, политическая стабильность

  • Доступность финансовых ресурсов, в частности кредита (число открытых банковских филиалов)

Криминогенность и политические конфликты

  • Количество убийств и покушений на убийство на душу населения

  • Конфликты внутри власти (между губернатором и мэром крупнейшего города)

Ресурсы и структура промышленности

  • Природные ресурсы (нефть, газ, золото, цветные металлы, лес и другие)

  • Доля продукции, производимой в сфере обслуживания (третичный сектор)

  • Эффективно работающая, в частности экспортно-ориентированная промышленность

«Сила» местной власти и политические права населения

  • Взаимоотношения с центром

  • Федеральные трансферты

  • Жилищное строительство

  • Характеристика СМИ

  • Электоральная статистика

Инвестиционный потенциал
Человеческий потенциал

  • Средняя продолжительность жизни

  • Процент городского населения (или населения в больших городах)

  • Число научных работников на душу населения

  • Этнолингвистическое разнообразие

В основу базы данных легли следующие мониторинговые и аналитические исследования.

Исследование фонда ИНДЕМ [Индем 1], в котором построены индексы коррупции для 40 субъектов РФ. В работе построены индексы коррупции, индексы доверия власти со стороны граждан, индексы доверия власти со стороны предпринимателей.

Исследование фонда ИНДЕМ ([Индем 2], гл.3 «Построение типологии регионов» автор Ю.Н. Благовещенский), где построены и собраны индикаторы, характеризующие ресурсы, человеческий потенциал, хозяйственный потенциал, финансовое состояние региона. Из этого исследования в базу данных были включены географические индексы «жесткость географических условий» - коэффициент удорожания условной единицы бюджетных услуг, «ресурсные запасы» - характеристика запасов разведанных полезных ископаемых, а также непосредственно связанный с качеством институтов индекс «активность внешнеэкономических связей».

Исследование условий функционирования малого предпринимательства в регионах РФ проведенное общероссийской общественной организацией малого и среднего предпринимательства «ОПОРА РОССИИ» совместно с ВЦИОМ ([Опора России]). Для опроса предпринимателей были выбраны такие аспекты предпринимательского климата, как трансакционные издержки, оценка отношения властей региона и местных властей к интересам предпринимателей, оценка уровня рисков взаимодействия с властями, проверяющими инстанциями и криминальной средой, наличие/отсутствие ограничений по выходу на рынки, обеспеченность правовой (судебной) защитой. Все эти факторы непосредственно характеризуют качество институтов региона.

Исследование, проведенное в институте экономики переходного периода ([Яновский и др.]). Из этого исследования в данную базу данных вошли характеристики СМИ регионов, судебная статистика, уникальная, но, к сожалению, имеющаяся только за 1999 г.

Программа «Социальный атлас российских регионов» (директор программы Зубаревич М.В.) [Атлас регионов] Нас заинтересовали представление на сайте индексы демократичности выборов

Также база данных содержит электоральную статистику ЦИК, данные РОССТАТа, характеризующие деятельность малых предприятий и некоторые аспекты социальной политики, как например, доля расходов на образование в ВРП, доля расходов на здравоохранение в ВРП. Синтетические категории качества жизни, содержащиеся в базе данных, построены и рассчитаны в ЦЭМИ РАН С. А. Айвазяном и В. С. Степановым.

Зависимые переменные

Мы отобрали следующие зависимые переменные.

Характеристики качества населения. Индекс развития человеческого потенциала, усредненный за 1999-2002 годы. Измеряется в долях от единицы. Обозначение HDIm – “Human Development Index”, m в конце названия переменной говорит об усреднении по годам. Индекс строится по трем компонентам: ВРП на душу населения, грамотность, ожидаемая продолжительность жизни при рождении. Эти три компоненты взвешиваются с весом 1/3.

Качество населения – индекс разработанный в ЦЭМИ РАН С.А. Айвазяном. Индекс отражает воспроизводство, демографическую структуру и физическое здоровье населения, способность образовывать и сохранять семьи, уровень образования и культуры, уровень квалификации населения. Мы будем обозначать эту переменную как Qnaselim.

Качество социальной сферы. Индекс разработан в ЦЭМИ С.А. Айвазяном. Состоит из 5 компонент: условия труда (в том числе уровень безработицы, численность пострадавших на производстве, процент работников промышленности, занятых во вредных и опасных условиях труда), физическая и имущественная безопасность членов общества (число зарегистрированных преступлений, смертность от убийств, и др.), характеристики социальной патологии (таксикомания, наркомания, алкоголизм, самоубийства и др.), миграция, социально-политическое здоровье общества. Индекс построен по 23 показателям. Обозначается как KSSm.

Уровень благосостояния. Состоит из трех компонент: доходы и расходы населения, обеспеченность жильем и собственностью, обеспеченность общества мощностями инфраструктуры.

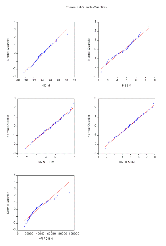
Последние три индекса построены с помощью метода главных компонент. Методику см., например в [Айвазян 2]. Сравнение распределений данных индексов с нормальным приведено в приложении 1.

Априорный набор объясняющих переменных.

В априорный набор вошли 33 объясняющие переменные.

Показатели социально-экономической политики:

  • Запреты и иные административные ограничения на вывоз продукции в другие регионы (OGRVYVOZ9G),

  • доля продукции, производимой в сфере обслуживания - третичный сектор (SFOBSLDOM),

  • Расходы бюджета региона на здравоохранение (на душу населения ZDRAVDN, доля в ВРП ZDRAVVRP)

  • Расходы бюджета региона на образование (на душу населения OBRRASDN, доля в ВРП ZDRAVVRP)

  • Индексы демократичности (индекс фракционализации голосов на выборах DUMARAE, демократичность выборов с 1999 по 2002г. DEMOCR29OZ, демократичность регионов в период с 1999 по 2003г. DEMOCR39EZ)

Показатели качества институтов

  • доля отмененных и измененных приговоров по гражданским в районных судах (OTMPRGRD9G)

  • противоправные действиями со стороны чиновников по отношению к предпринимателям (PROTPCHI5O)

  • Наличие сети специализированных правозащитных организаций (SETPRAVO9G)

  • наличие случаев выигранных судебных дел против региональных властей (VYIGRSUD9G)

  • шансы предпринимателя отстоять законные интересы в суде, если его оппонентом будут региональные власти, индекс (SUDVYII5O)

Частные результирующие характеристики институтов и социально-экономической политики

  • Индикатор "Активность внешнеэкономических связей" (ACT_VES_B)

  • Число филиалов кредитных организаций в регионе на душу населения (FIL_C_OM)

  • Политическая партия "Единая Россия", процент голосов на выборах 2003 (EDINROS3C)

  • Количество исследователей на душу населения (ISSLEDM)

  • Индекс фракционализации голосов на выборах (DUMARAE)

  • Объем продукции МП на душу населения (MPVDNM)

  • Число малых предприятий на 1000 чел. населения (MPDN_M)

  • Доля продукции МП в ВРП (MPVVRPM)

  • Число организаций, использовавших специальные программные средства на душу населения (PRGS_ORGM)

  • Число голосов избирателей, поданных против всех федеральных списков кандидатов, процент голосов на выборах 2003 (PROTVDUM3C)

  • Число зарегестрированных убийств и покушений на убийство (UBIISTVP)

  • Индикатор "Независимость региональных бюджетов от федерального" (NEZAVISFED_B)

  • Коэффициент фондов (KFONDOV)

  • Перечисления из федерального бюджета в региональный на душу населения (FEDVREGDN)

Географические факторы

  • Индекс этнического разнообразия (ETNOFRAC2R)

  • Экспорт со странами вне СНГ на душу населения (EXP_DALNM)

  • Удельный вес городского населения (GORNASDOM)

  • Коэффициент удорожания условной единицы бюджетных услуг или индикатор "Жёсткость условий" (KOEFUDOR_B)

  • Индекс "Природно-ресурсный потенциал" (PRRESPI96B)

Из них в апостериорный набор объясняющих переменных вошли только десять.

Остановимся на описании некоторых из них подробнее.

Индекс «природно-ресурсный потенциал» разработан Ю.Н. Благовещенским в работе [Индем 2]. Применен специальный способ построения индекса. Индекс сконструирован на основе расчетного ресурсного индекса из исследования "Предпринимательский климат регионов России" (Шувалов и другие, 1996 год, Лаборатория регионального анализа и политической географии МГУ и Экспертным институт), данных из Бюллетеня Министерства природных ресурсов "Природные ресурсы РФ", 1998 о величине потенциальной ценности разведанных и оценённых запасов основных полезных ископаемых (6 градаций на логарифмической шкале стоимости) и о долевом распределении запасов нефти, природного газа, угля и золота в регионах РФ. При построении индекса экспертно выбирались регионы-лидеры с высоким значением индекса и регионы-аутсайдеры. Отбирались количественные признаки, по которым строился индекс. В координатах пространства этих признаков проводилась ось между регионом-лидером и регионом-аутсайдером, на эту ось проецировались координаты всех регионов, и их координата на этой оси и становилась значением индикатора. Подробнее о методике построения индикаторов см. [Индем 2]. Регионы лидеры: Иркутская область, Коми, Саха, Тюменская область, Красноярский край, Москва. Регионы аутсайдеры: Ленинградская область, Псковская область, Калмыкия, Новгородская область, Вологодская область.

С помощью этого же методы построен индекс «независимость от федерального бюджета». Его компоненты: (1) суммарная величина "вливания" (сумма федеральных поступлений в региональный бюджет) в процентах к доходу; (2) та же величина в пересчете на душу населения; (3) "чистый" доход на душу населения (доход бюджета минус сумма федеральных поступлений). Аутсайдеры: Тыва, Ингушетия, республика Алтай, Дагестан, Карачаево-Черкесская республика, Еврейская автономная область, Бурятия. Лидеры: Тюмень, Москва, Татарстан, Санкт-Петербург, Коми, Красноярский край, Башкортостан.

Безопасность населения. После унификации (метод, о котором мы скажем ниже) переменная «количество убийств и покушений на убийства» приобретает обратный смысл, позитивный, и обозначает безопасность в регионе.

Этническое разнообразие. Эту переменную мы вычислили по данным переписи населения 2002 г. Она показывает вероятность, что двое случайно выбранных гражданина региона относят себя к разным национальностям. Индекс вычисляется по формуле , где k – количество различных этнических групп региона, а - это их численность. Это важная социальная характеристика, она рассматривается во многих работах как российских, так и зарубежных авторов. В работе [Rodrick, Subramanian, Trebbi] эта переменная используется как один из инструментов для качества институтов, также упоминается в обзоре [Aron] и других работах. Среди регионов России аутсайдерами по данной характеристике являются Вологодская, Тамбовская, Липецкая, Брянская, Костромская, Курская области. Лидеры: Дагестан, Башкортостан, Карачаево-Черкеская республика, Саха, Кабардино-Балкария и Калмыкия.

Число малых предприятий на душу населения – характеристика предпринимательского климата региона.

Количество организаций, применяющих специальные программные средства – показатель инновационного климата региона. Как видно из графа, эта переменная тесно связана с расходами на образование. Близкая к ней переменная количество «Веб-сайтов» госучреждений на душу населения тесно связана с количеством исследователей на душу населения.

Демократичность. Мы использовали три индекса демократичности: индекс фракционализации голосов на выборах DUMARAE, демократичность выборов с 1999 по 2002 г. DEMOCR29OZ, демократичность регионов в период с 1999 по 2003 г. DEMOCR39EZ. Индекс фракционализации голосов на выборах построен по итогам выборов в государственную думу в 1999 г. и в 2003 г., и усреднен. Мы строили его по аналогии с индексом фракционализации голосов в парламенте. Он вычисляется аналогично индексу партийной фракционализации.
.
Индекс партийной фракционализации был предложен Дугласом Рае в его книге «Политические условия электорального права» [Rae] — первом систематическом сравнительном исследовании воздействия электоральных систем на партийную систему. Индекс является одной из характеристик политических институтов.

Другие два индекса демократичности построены в рамках проекта «Социальный атлас регионов» (см. [Атлас регионов]) сотрудниками Московского Центра Карнеги Н.В. Петровым и А.С. Титковым. Индекс демократичности DEMOCR39EZ получен суммированием экспертных оценок по 10 категориям: открытость, демократичность выборов, политический плюрализм, независимые СМИ, экономическая либерализация, гражданское общество, политическое устройство, элиты, коррупция, местное самоуправление. Лучшему региону соответствует наибольшее значение индекса. Третий индекс – индекс демократичности выборов в период с 1999 по 2002г. DEMOCR29OZ построен усреднением 11 частных индексов, основанных на следующих (объективных) данных:

  • участии в думских и президентских выборах;

  • участии в выборах главы исполнительной власти региона;

  • конкурентности выборов в Госдуму по партийным спискам, измеряемой эффективным числом партий;

  • конкурентности на губернаторских выборах, измеряемой эффективным числом кандидатов;

  • конкурентности на губернаторских выборах на базе отрыва победителя;

  • сменяемости глав регионов на выборах;

  • голосовании «против всех» на выборах главы региона;

  • голосовании «против всех» на выборах в Госдуму по партийным спискам и на выборах Президента РФ;

  • голосовании «против всех» на выборах в Госдуму по одномандатным округам;

  • нарушениях на региональных выборах;

  • нарушениях на федеральных выборах в регионе.

Лучшее значение этого индекса – минимальное. Интересно, что между тремя этими индексами достаточно высокая корреляция. Коэффициент ранговой корреляции Спирмена между индеком Rае и экспертным индексом демократичности равен 0,67, для индекса Rае и объективного индекса демократичности выборов коэффициент Спирмена равен 0,62, и для объективного и экспертного индексов ранговая корреляция Спирмена равна 0,64.

Таблица аутсайдеров.

DEMOCR29OZ   DEMOCR39EZ DUMARAE
Татарстан Ингушетия Ингушетия
Тульская область Кабардино-Балкария Кабардино-Балкария
Мордовия Тульская область Мордовия
Дагестан Башкортостан Дагестан
Кабардино-Балкария Северная Осетия Тыва


Таблица лидеров.

DEMOCR29OZ   DEMOCR39EZ DUMARAE
Нижегородская область  Нижегородская область Сахалинская область
Калининградская область Пермская область Томская область
Амурская область Санкт-Петербург Новосибирская область
Тамбовская область Самарская область Пермская область
Оренбургская область Свердловская область Санкт-Петербург


Как видно из таблиц, показания данных индексов согласованы. Это интересный результат, поскольку индексы взяты из разных источников, построены разными методами. Показания (объективного) индекса фракционализации хорошо согласуются с индексом демократичности, построенным по 10 категориям оценок экспертов. Отметим, из трех указанных индексов распределение экспертного индекса наиболее близко к нормальному, а индекс Rае меньше всего соответствует гипотезе о нормальном распределении (см. Приложение 2).

Отбор переменных.

Результаты анализа показывают отсутствие связей институциональных переменных Опоры и ИЭППП (института Гайдара) со всеми остальными переменными и с отобранными нами зависимыми переменными. Мы не можем пока объяснить этот феномен для данных Опоры; что касается данных института Гайдара, это, возможно, объясняется тем, что это бинарные индексы и по своей природе они сильно отличаются от других переменных.

Графические модели.

Мы также использовали графические модели и методы выбора регрессионных моделей для подбора оптимального набора переменных из имеющейся базы с большим количеством переменных, отражающих схожие феномены. Основная идея: снижение размерности корреляционной матрицы, использование древообразных структур зависимостей (Chow 1970) - построение дерева максимального веса по методу Краскала на основе корреляционной матрицы, выбор ковариаций по методу Демпстера (Dempster 1972), модифицированный метод Демстера, где дерево зависимостей служит начальной точкой для применения самого метода Демпстера. Подробнее о графических моделях в анализе данных по регионам России см. [Weinberg]

В качестве примера в Приложении 3 прилагается граф, использованный нами для выбора наиболее «показательного» индекса демократичности выборов. В результате анализа мы выбрали индекс демократичности на выборах 2000-2004 года по итогам экспертных оценок. Данный индекс является ключевой переменной данного множества (более трех связей) и, в частности, переменной с наибольшим количеством связей среди политико-институциональных переменных, включая прочие индексы демократичности.

Комментарии к графу переменных

1) Ключевые переменные
Качество населения
Уровень благосостояния
Объем продукции малых предприятий на душу населения
Убийства и покушения на убийства на душу населения
Расходы на образование
Индекс демократичности выборов (2000-2004 годы)
Количество исследователей на душу населения

2) Поле переменных
Мы наблюдаем тоже поле переменных, как и в графах, построенных на переменных предыдущего периода (1994-1999)

От рыночно-институциональных переменных (объем продукции малых предприятий на душу населения) через экономические и социальные переменные к политическим переменным (результаты и демократичность выборов).

Разбиение на кластеры по переменным «количество малых предприятий на 1000 человек населения», «индекс демократичности», «число организаций, имеющих Веб-сайты на душу населения» показано в Приложении 4.

Анализ результатов регрессии

Мы рассмотрели регрессионные зависимости ключевых характеристик качества жизни от географических факторов и косвенных характеристик институционального развития регионов РФ. Регрессии строились для 72 регионов РФ. Не рассматривались данные по автономным округам. Из-за недостатка данных ни рассматривались Ингушетия, Чечня, Еврейская АО, Тыва. Для того, чтобы избежать влияние выбросов из рассмотрения исключили Москву, Санкт Петербург и Тюмень. Независимые переменные унифицировались – приводились к шкале [0;1] так, чтобы 1 была лучшим значением индикатора, а 0 - худшим. После унификации коэффициенты регрессии показывают относительный вклад каждой из переменных в изменение зависимой переменной, то есть большему по модулю коэффициенту соответствует больший вклад.

Регрессии для КАЧЕСТВА НАСЕЛЕНИЯ

Зависимая переменная – индекс развития человеческого потенциала (ИРЧП), усредненная за 1999-2001 гг. (HDIm). Результаты регрессии представлены в Таблице 1.

Таблица 1.

Dependent Variable: HDIm
No Variable Coefficient Std. Error t-Statistic Prob. R-squared Adjusted R-squared F-statistic Prob(F-statistic)
                   
1         C 0.74 0.00 216.45 0.00 0.12 0.11 9.38 0.00
  PRRESPI96BU    0.05 0.02 3.06 0.00        
2         C 0,70 0,01 86,14 0,00 0,32 0,31 16,60 0,00
  UBIISTPDNMU    0,05 0,01 4,77 0,00        
  PRRESPI96BU    0,08 0,02 4,92 0,00        
3         C 0,72 0,01 94,40 0,00 0,13 0,11 5,19 0,01
  UBIISTPDNMU    0,03 0,01 2,59 0,01        
  ETNOFRAC2R    0,02 0,01 1,85 0,07        
4         C 0.77 0.01 81.87 0.00 0.48 0.46 20.72 0.00
  UBIISTPDNMU   0.02 0.01 2.75 0.01        
  ETNOFRAC2RU    0.02 0.01 2.52 0.01        
  FEDVREGDNOU    -0.06 0.01 -6.87 0.00        
5         C 0.69 0.01 111.20 0.00 0.62 0.61 36.88 0.00
  UBIISTPDNMU    0.04 0.01 5.21 0.00        
  ETNOFRAC2RU    0.02 0.01 3.05 0.00        
  NEZAVISFED_BU   0.15 0.02 9.49 0.00        


В качестве объясняющих переменных методами были выбраны следующие факторы: количество убийств и покушений на убийства на душу населения, этническое разнообразие, природно-ресурсный потенциал, независимость от федерального бюджета, объем субсидий из федерального бюджета. Природные ресурсы объясняют 12% вариации ИРЧП (если не отбрасывать Москву, Санкт Перербург и Тюмень, то 35%). При добавлении институционального фактора «безопасность» коэффициент детерминации возрастает до 32%. Обе переменных входят с положительным знаком, вклад природно-ресурсного потенциала больше. Безопасность и этническое разнообразие объясняют 13% вариации ИРЧП (скорректированный коэффициент детерминации 0.11). Это «нематериальная» составляющая индекса (модель3). Как только к ним добавляются экономические факторы, коэффициент детерминации резко возрастает. Включая переменную обратную к сумме вливаний из федерального бюджета в региональный, унифицированную получаем =0.48 (модель 4). После унификации большим значениям FEDVREGDNOU соответствуют большие суммы вливаний. Переменная значима и входит со знаком минус. Это говорит о том, что вливания в региональный бюджет не улучшают ИРЧП региона, видимо, они должны распределяться по другой схеме. Об оптимальном распределении средств для борьбы с бедностью см., например, работу [Айвазян Колеников]. С другой стороны, это можно интерпретировать тем, что дотационные регионы имеют более низкий потенциал человеческого развития. Наилучшую подгонку данных обеспечивает модель 5, объясняющими переменными которой являются безопасность, этническое разнообразие и независимость от федерального бюджета. Основной вклад – от независимости регионального бюджета от федерального. Переменная входит с положительным знаком: для региона лучше не зависеть от федерального бюджета. К сожалению, эта независимость на 51% связана с природно-ресурсным потенциалом (см. таблицу 2). Впрочем, остаются еще 49%. Большие значения коэффициентов при экономических факторах не вызывают удивления, так как корреляция HDI с ВРП велика. Ниже мы приводим таблицу корреляций «экономических» объясняющих переменных и HDI (таблица 2).

Таблица 2.

  HDIM   UBIIST

PDNMU

ETNOFR

AC2RU

NEZAVISF

ED_BU

VRPD

NMU

FEDVR

EGDN

FEDVREG

DNOU

PRRES

PI96B

KFOND

OVM

                   
HDIM         1.00 0.29 0.21 0.65 0.47 -0.38 -0.61 0.33 0.40
UBIISTPDNMU         0.29 1.00 0.02 -0.16 -0.33 -0.24 -0.06 -0.42 -0.32
ETNOFRAC2RU  0.21 0.02 1.00 -0.04 0.00 0.29 0.03 0.21 0.17
NEZAVISFED_BU   0.65 -0.16 -0.04 1.00 0.84 -0.27 -0.62 0.51 0.30
VRPDNMU 0.47  -0.33 0.00 0.84 1.00  0.13  -0.38 0.57 0.36
FEDVREGDN -0.38 -0.24 0.29 -0.27 0.13 1.00 0.55 0.03 -0.09
FEDVREGDNOU       -0.61 -0.06 0.03 -0.62 -0.38 0.55 1.00 -0.19 -0.40
PRRESPI96B 0.33 -0.42  0.21 0.51 0.57 0.03 -0.19 1.00 0.43
KFONDOVM 0.40 -0.32 0.17 0.30 0.36 -0.09 -0.40 0.43 1.00


Зависимая переменная – индекс качества населения. Индекс построен на основе демографических факторов, здоровья населения, его образования. Результаты регрессии приведены в таблице 3.

Таблица 3.

Dependent Variable: QNASELIM
No Variable Coefficient Std. Error t-Statistic Prob. R-squared Adjusted R-squared F-statistic Prob(F-statistic)
1         C 4,21 0,21 20,43 0,00 0,08 0,06 5,75 0,02
     PRRESPI96BU 2,30 0,96 2,40 0,02        
2         C 3,49 0,70 5,00 0,00 0,35 0,31 9,09 0,00
      PRRESPI96BU 3,69 0,91 4,07 0,00        
  UBIISTPDNMU 1,66 0,62 2,69 0,01        
  DEMOCR92OZU  -2,01 0,57 -3,51 0,00        
      MPDN_MU 3,89 1,21 3,21 0,00        
3         C 1,87 0,53 3,51 0,00 0,52 0,49 14,41 0,00
  PRRESPI96BU 2,84 0,82 3,44 0,00        
        UBIISTPDNMU 1,77 0,52 3,38 0,00        
  DEMOCR39EZU -0,83 0,52 -1,60 0,12        
  MPDN_MU 4,33 1,08 4,00 0,00        
  ETNOFRAC2RU   2,26 0,43 5,30 0,00        
4         C 1,56 0,50 3,11 0,00 0,50 0,47 16,98 0,00
  PRRESPI96BU 2,56 0,82 3,14 0,00        
  UBIISTPDNMU 1,84 0,53 3,48 0,00        
  MPDN_MU 3,78 1,04 3,64 0,00        
  ETNOFRAC2RU 2,47 0,41 6,05 0,00        
5 C 2,38 0,45 5,26 0,00 0,43 0,41 17,12 0,00
  UBIISTPDNMU 1,12 0,51 2,21 0,03        
  MPDN_MU 3,65 1,10 3,31 0,00        
  ETNOFRAC2RU 2,76 0,42 6,53 0,00        


Методом пошагового отбора из объясняющих переменных для зависимой переменной индекс качества населения были выбраны этническое разнообразие, и количество малых предприятий региона на душу населения, демократичность выборов в регионе в период с 1999 по 2003гг., безопасность, природно-ресурсный потенциал. Если в модели 3 переменная «демократичность» незначима, то в модели 2 она значима и имеет большое по модулю отрицательное значение. Этот результат перекликается с выводом статьи [Polterovich, Popov] о том, что демократия положительно сказывается на экономическом росте стран с сильным законом и правопорядком, и отрицательно – в противоположной ситуации. Что не в коей мере не умаляет ценность демократии саму по себе. В модели 4 и модели 5 все переменные значимы, коэффициенты положительны. Это говорит о позитивном влиянии каждой из переменных на качество населения. В модели 5 мы оставили только институциональные факторы, они объясняют 43% вариации зависимой переменной. Это позволяет сделать вывод о значимости институциональных факторов развития региона для качества населения региона. И рекомендации для проведения социальной политики: для блага населения важно обеспечить безопасность, хороший предпринимательский климат. Не стоит бояться этнического разнообразия. Надо укреплять власть закона, и тогда демократичность выборов региона не будет отрицательно сказываться на качестве населения.

Зависимая переменная – качество социальной сферы. Индекс понижается при увеличении социальной напряженности, росте социальных патологий, ухудшении условий труда, усилении социального неблагополучия, растет при усилении социальной защиты. Мы приведем одну модель регрессии для данной зависимой переменной в таблице 4.

Таблица 4.

Dependent Variable: KSSM
Variable Coefficient Std. Error t-Statistic Prob. R-squared Adjusted R-squared F-statistic Prob(F-statistic)
                 
C 4,96 0,49 10,21 0,00 0,38 0,34 10,25 0,00
PRGS_ORGMU 2,12 0,65 3,28 0,00        
PRRESPI96BU -4,50 0,83 -5,43 0,00        
DEMOCR29OZU -1,16 0,53 -2,18 0,03        
GORNASDOMU 1,28 0,62 2,06 0,04        


Результаты регрессии этого индекса по регионам говорят, что хорошие природные ресурсы не улучшают качество социальной сферы, напротив, коэффициент при переменной природные ресурсы отрицательный, значимость высокая. Это объясняется также и тем, что в России природные ресурсы расположены в таких климатически тяжелых регионах как Магадан, Тюмень, Саха (Якутия), туда приезжают на время, условия труда там сложные. Причина того, что демократичность выборов в период с 1999 по 2002 гг. входит в регрессию с отрицательным знаком, уже обсуждалось выше. Качество социальной сферы лучше в городах, большой положительный вклад в качество социальной сферы вносит инновативность работников государственных учреждений, переменная «использование программных средств в государственных учреждениях». Использование современных программные средств, хороший инновативный уровень госучреждений - важный фактор для качества социальной сферы региона.

Зависимая переменная – уровень благосостояния региона. Мы приводим результаты регрессии для экспоненциальной модели (или линейной, где зависимая переменная имеет вид логарифма уровня благостояния региона) и линейной модели в Таблице 4.

Таблица 4.

Dependent Variable: KSSM
Dependent Variable Variable Coefficient Std. Error t-Statistic Prob. R-squared Adjusted R-squared F-statistic Prob(F-statistic)
                   
LNURBLAGM C 0,94 0,15 6,45 0,00 0,39 0,36 10,89 0,00
  ETNOFRAC2RU -0,27 0,12 -2,31 0,02        
  UBIISTPDNMU 0,46 0,14 3,37  0,00        
  PRGS_ORGMU 0,60 0,17 3,61 0,00        
  GORNASDOMU 0,38 0,16 2,33 0,02        
URBLAGM C 2,24 0,68 3,30 0,00 0,39 0,34 8,30 0,00
  ETNOFRAC2RU -1,15 0,56 -2,07 0,04        
  UBIISTPDNMU 2,27 0,69 3,29 0,00        
  PRGS_ORGMU 2,71 0,79 3,44 0,00        
  GORNASDOMU  1,20 0,73 1,64 0,11        
  PRRESPI96BU 0,57 1,13 0,50 0,62        

 

Для объяснения данной зависимой переменной в результате пошагового отбора были выбраны этническое разнообразие, безопасность, доля городского населения и применение программных средств в госучреждениях. Эти переменные оказывают позитивное влияние на уровень благополучия. Исключение – этническое разнообразие. Это очень интересная переменная. Она оказывает сильное влияние на институты, обсуждается во многих работах. И если ситуация в регионе напряженная, то этническое разнообразие может служить катализатором конфликтов, и таким образом ухудшить благосостояние региона. Однако как мы видели выше, с качеством населения этническое разнообразие связано позитивно.

Основные выводы:

На уровне регионов РФ институциональные факторы значимо влияют на показатели качества жизни. Среди основных институциональных факторов, для которых можно наблюдать различие по регионам РФ можно перечислить предпринимательский климат, безопасность, инновативность госслужащих, демократичность.

Работа проводится при финансовой поддержке гранта РГНФ «Эконометрический анализ взаимосвязи институционального и социально-экономического развития субъектов Российской Федерации» № 04-02-00091a.

 

Литература.

[Aron] Janine Aron Growth and Institutions: a review of Evidence The World Bank Research Observer, v. 15, no.1, pp. 99-135.

http://www.worldbank.org/research/journals/wbro/obsfeb00/art6.htm


[Polterovich Popov] Polterovich V., Popov V. Democratization, Quality of Institutions and Economic Growth, working paper, Moscow, 2006.

[Rae] Douglas W. Rae Political Consequences of Electoral Law, Yale University Press, 1967; Revised Edition, 1971.

[Rodrick Subramanian Trebbi] Dany Rodrik, Arvind Subramanian, Francesco Trebbi. Institutions Rule: The Primacy of Institutions over Geography and Integration in Economic Development http://www.ksg.harvard.edu/rodrik/papers.html.

[Weinberg] Weinberg, Anna (2005) Quantitative analysis of the situation and development of Russian regions during the transition period/ Ph.D. Thesis. – University of Geneva.

[Айвазян 1] С.А. Айвазян. О роли социально-экономической политики и институционального развития в повышении качества жизни: результаты межстранового эконометрического анализа. Мир России: социология, этнология. Т. XIV №1 2005г.

[Айвазян 2] С.А. Айвазян. Разработка и анализ интегральных категорий качества жизни населения Самарской области. – М. ЦЭМИ РАН, 2005. – 124с.

[Айвазян Колеников] С.А. Айвазян, С.О. Колеников. Уровень бедности и дифференциация по расходам населения России. Итоговый отчет. Май 2000. Российская программа экономических исследований. http://www.komkon.org/~tacik/science/

[Атлас регионов] Программа «Социальный атлас российских регионов» (директор программы Зубаревич М.В.) http://atlas.socpol.ru/.

[Индем 1] «Региональные индексы коррупции» проект TI-Russia и Фонд ИНДЕМ http:// www.anti-corr.ru/rating_regions/ index.htm.

[Индем 2] «Региональная политика России: адаптация к разнообразию» Аналитический доклад п.р. Г.А. Сатарова Региональный общественный фонд «Информатика для демократии». Труды фонда Индем. Москва 2004.

[Истерли] Истерли Уил. В поисках роста. Изд. Института комплексных стратегических исследований, 2006 г., 356 стр.

[Опора России] Отчет по результатам общероссийского исследования «Условия и факторы развития малого предпринимательства в регионах РФ».
http://gov.spb.ru/gov/admin/otrasl/c_economy/mbiz/opora

[Попов] Владимир Попов. Стратеги реформ и экономические итоги трансформации. Почему падение производства в регионах России было неодинаковым
Мировая экономика и международные отношения, № 9, 2000г.; НГ – Политэкономия, 12 сентября, 2000г.

[Яновский и др.] Яновский К. Э. (руководитель исследования), Жаворонков С. В., Кочеткова О. В., Мажуга А. Ю., Черный Д. А., Дежардин П.-М., Хобсон П., Савой Д. Политико-экономические проблемы российских регионов. М.: ИЭПП, 2001.

 

Приложение 1. Сравнение распределений зависимых переменных с нормальным.

 

Приложение 2. Сравнение распределений индексов демократичности с нормальным.

 

Приложение 3.

 

Приложение 4. Разбиение на кластеры по переменным «количество малых предприятий на 1000 человек населения», «индекс демократичности», «число организаций, имеющих Веб-сайты на душу населения».

 


 

 
 

Контакты:

ЦЭМИ РАН 117418, Москва, Нахимовский проспект, 47, комната 1110