Центр ситуационного анализа и прогнозирования ЦЭМИ РАН

Decision Support and Forecasting Center CEMI RAS

 

 

 

 

Институциональная экономика

 

Государство в Российской модели общества

 

В.Л. Макаров

 

Доклад на научном семинаре
Отделения экономики и ЦЭМИ РАН
“Неизвестная экономика”

 

В докладе обосновывается возрастающая роль государства и, в том числе, государственного сектора в современном обществе. Существующие теории государства должны быть подвергнуты существенной ревизии. Переход от общества потребления к обществу качества жизни представляется неизбежным в исторической перспективе. Государственный (более общо - публичный) сектор играет при этом ключевую роль. Движущая сила экономики постепенно преобразуется из чисто рыночной в конкурентное стремление к высокому качеству жизни. Россия с её тягой к духовности может быть в числе лидеров в движении к новому обществу.

 

 

Вступление

Сейчас довольно интенсивно обсуждается проблема Российского пути в переживаемый ныне трансформационный период. Я тоже пытаюсь внести свой вклад в проблему, написав, в частности, эссе под названием “Российская модель общества”, опубликованное в [Макаров (1996)].

В настоящем докладе упор делается не на собственно Российскую модель, а на роль государственного сектора в ее формировании. Не затрагивая здесь весьма запутанную проблему “Что такое государство?”, скажу, что в российской истории роль государства всегда была наиважнейшей. Народ был ориентирован на царя, на державу, на власть. Власть определяла, какое устройство общества подходит России. Пушкинская фраза из “Бориса Годунова”: “Народ безмолвствует” - вполне отражает суть дела.

Как только власть допускала слабину, наступало состояние хаоса или критическая точка по терминологии теории катастроф. Свежие примеры: Совокупность событий 1917 года, распад СССР и начало Ельцинских реформ (1991 - 92 гг.). Реформы, которые делают государство слабым, “рубят сук ...”

Точных и общепринятых измерителей силы и слабости государства нет. Можно пользоваться разве что экспертными оценками и собственными ощущениями. И те и другие подсказывают, что в настоящее время наше государство откровенно слабое. Отсюда все беды. Но чтобы сделать государство сильным, надо сначала понять, какое государство надо строить. 

Кое что из абстрактной теории

Начну с общих вещей, не имеющих отношения к специфике России. Цель: привести аргументы в пользу утверждения, что роль государства в современном мире возрастает. Вот уж где Маркс с Энгельсом ошиблись, так это - в предсказании отмирания государства.

Несколько упрощенно можно считать, что государственный (публичный по западной терминологии) сектор предназначен для того, чтобы производить публичные (общественные) блага. Обычные продукты и услуги, называемые частными благами производятся при этом практически любыми экономическими агентами.

Понятие публичного блага чрезвычайно емкое, широкое и не четко очерченное.

В исходном представлении общественное благо - это нечто, одинаково доступное всем членам общества. и за что не надо непосредственно платить. Это может быть материальный продукт, например, питьевая вода из фонтанчика в людном месте. Чаще всего - это услуга от использования общественного сооружения: дороги, парка, библиотеки, маяки. Другим важным примером являются услуги: образования, здравоохранения, защиты от насилия. Общественные, в том числе национальные, государственные интересы также можно представлять себе в виде некоего публичного блага, которое потребляют уже не отдельные индивиды, а общество в целом.

Слово “благо” носит в себе положительный оттенок. Однако публичное благо (впрочем, как и частное) может быть и отрицательным, нежелательным для потребления. Например, загрязненный воздух. Другие общественные блага могут быть положительными (желательными) для одних и отрицательными для других. Пример - развал СССР.

Для дальнейшего еще понадобиться различать навязанные публичные блага (nonexcludable public goods), противоположное - не навязанные публичные блага.

Из названия ясно, о чем идет речь.

Далее я формулирую гипотезу или предположение о степени важности публичных и частных благ для отдельного человека.

Предположение.

(1) Предельная полезность частного блага (значительно) больше предельной полезности публичного блага при относительно малых величинах потребления частного блага.

(2) Предельная полезность частного блага становится меньше предельной полезности публичного блага, начиная с некоторой величины потребления частного блага.

В условиях данного предположения, а также некоторых других, менее важных, можно показать, что с увеличением количества членов общества доля публичных благ в общем объеме производства увеличивается.

Упрощенная модель.

В экономике имеется одно частное и одно публичное благо. Пусть количество членов общества равно n и каждый человек способен произвести одну единицу частного блага. Государство производит публичное благо, используя для производства единицы публичного блага единицу частного блага.

Предположим далее, что все люди абсолютно похожи друг на друга, то есть имеют, в частности, одну и ту же функцию предпочтения u. А именно,

где x - количество потребленного частного блага, а g - потребленное количество публичного блага.

Нетрудно видеть, что данная функция удовлетворяет сформулированному выше предположению.

Общественные интересы в экономике выражает государство. Формально в схеме известной модели Эрроу - Дебре - это дополнительный n+1 - й потребитель со своей функцией предпочтения. Например, .

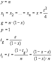
Если далее предположить, что имущественное положение каждого члена общества одинаково, то состояние (рыночного) равновесия в смысле Эрроу - Дебре выглядит следующим образом (детальнее см. приложение в конце текста):

Здесь:

y - суммарное количество произведенного частного блага.

- количество частного блага, потребленное индивидом i;

g - количество произведенного в экономике публичного блага. По определению это же самое количество потребляется каждым членом общества;

p - цена частного блага, играющая роль нормировки;

- цена публичного блага для индивида i, (индивидуальная цена) в экономике Эрроу - Дебре, в которой предполагается, что государство как производитель производит n продуктов (частных), по одному для каждого члена общества и в одинаковом количестве для каждого. По другой интерпретации - это ставки налога по Линдалу (индивидуальные ставки, учитывающие полезность публичного блага для членов общества).

- цена публичного блага для государства как потребителя (выразителя общественных интересов).

s - доля прибыли или, что здесь одно и то же, доля произведенного всеми блага, которая поступает в распоряжение государства как потребителя (n + 1 потребителя).

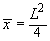
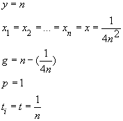
При s = 0 , то есть когда общественные интересы отсутствуют, состояние равновесия выглядит проще:

Таким образом, с увеличением масштабов экономики индивидуальная цена (единицы) публичного блага для каждого человека становится меньше. И, соответственно, при том же бюджете он потребляет публичного блага больше.

Это не удивительно. Удивительно другое: c увеличением масштабов экономики индивид потребляет меньше частных благ в абсолютном ( натуральном) измерении. То есть в условиях, когда цена частного блага и индивидуальный доход постоянны, а цена публичного блага становится все меньше, индивиду выгодно покупать все меньше частного блага в пользу публичного. Можно еще сказать так. Индивидуальный потребитель старается использовать бюджет (скажем, один рубль) так, чтобы приобрести на него набор благ с максимальной полезностью. Поскольку по выше сформулированному предположению полезность публичного блага постоянна, то при снижающейся его цене на рубль можно приобрести все большее количество публичного блага. Стало быть равная ей полезность частного блага получается при большей предельной полезности. (Условие оптимума). Это и означает, что индивид потребляет частного блага меньше в абсолютном выражении.

Таким образом в обществе Линдала с увеличением его членов максимальное благосостояние достигается при всё большем потреблении публичных благ в ущерб потреблению частных.

Ниже приводятся данные, свидетельствующие об увеличение доли публичных благ в общем производстве по мере роста и совершенствования экономики.

Напомним ещё раз, что речь шла до сих пор о равновесии по Линдалу, то есть о чисто теоретическом построении. В реальности публичные блага не покупаются населением по рыночным по Линдалу, то есть индивидуальным ценам (и вообще по рыночным ценам). Мир Линдала не реализуем по ряду причин, но в первую очередь по причине явления “безбилетника” (по-английски free rider). В действительности публичные блага всегда ассоциируются с бесплатностью. И предоставляются бесплатно. В действительности, всё, как правило, гораздо сложнее.

Определение публичного сектора.

В отечественной литературе начинает появляться различие между государственным и публичным сектором, состоящее в том, что согласно действующей конституции муниципальные предприятия (и общественные организации) не являются государственной собственностью, но являются публичной. См. например, Бухвальд (1996). Не претендуя на сколько-нибудь точное определение публичного и государственного сектора ограничимся здесь индуктивным (т. е. с помощью перечисления) определением. Тем более что такое перечисление пригодится в дальнейшем.

Общество, рассматриваемое под углом зрения экономики, можно представлять себе совокупностью действующих лиц, надлежащим образом сгруппированных.

Таковыми являются:

1. Публичный сектор.

    1.1. Государственные предприятия (федеральной собственности и собственности субъектов Федерации), в том числе:

      1.1.1. Казенные предприятия

1.1.2. Центральный банк и другие институты инфраструктурного характера

1.2. Бюджетный сектор

1.2.1. Оборона

1.2.2. Образование, культура и искусство

1.2.3. Здравоохранение, физическая культура и социальное обеспечение

1.2.4. Наука и научное обслуживание

1.2.5. Судебные и правоохранительные органы

1.2.6. Государственное управление (аппарат органов управления)

1.2.7. Жилищно-коммунальное хозяйство; непроизводственные виды бытового обслуживания населения.

1.3. Муниципальные предприятия

1.4. Общественные организации

2. Негосударственный (не публичный) сектор

2.1. Корпоративный сектор

2.2. Частный сектор

3. Домашние хозяйства

Нетрудно видеть, что данная классификация противоречива. Например, часть бюджетного сектора представляют собой муниципальные предприятия. Или, предприятия науки, образования, здравоохранения не находятся на обеспечении государства, но входят в публичный сектор. Тем не менее эта классификация обладает определенной логикой, соответствует действующей статистике и потому используется в дальнейшем.

Перечисленные группы действующих лиц общества естественным образом сочетаются с интересами. Достаточно общепринято различать три группы интересов: (1) частные интересы граждан (индивидов, домашних хозяйств, семей), (2) корпоративные (групповые) интересы (организаций, ведомств, различного рода социальных групп, родовых кланов, объединений на национальной, религиозной и прочей почве), (3) государственные, общенациональные интересы (это общие интересы, касающиеся всех граждан страны).

Интересы, таким образом, определяются по их носителям. Другое дело - выявители интересов, выразители интересов, защитники интересов, проводники в жизнь интересов. Процессы выявления интересов, их отстаивания, реализации чрезвычайно разнообразны. Разнообразны организации, претендующие на роль выразителей и защитников интересов. Правда, всё это относится, в основном, к корпоративным интересам. Проще с индивидуальными интересами. Там все абсолютно естественно.

Сложнее с общенациональными интересами. Выразителями и исполнителями здесь выступает государство в целом. Но государство - это публичный сектор, а не только власть, как таковая, или отдельные её ветви: президент, парламент и проч.

Основная функция публичного сектора состоит в выявлении, формировании, развитии, защите, обеспечении общих интересов. Другими словами, государство, в лице своего сектора, существует для реализации общих интересов своих граждан. Не уточняя в данном контексте, что такое общие интересы, можно говорить, в каком - то смысле, о тавтологии. Общие интересы это те, которые защищает государство. Именно ради них оно существует.

Поскольку человеческая цивилизация развивается, усложняя среду своего обитания, все более интегрируясь в нечто целостное, роль и значение общих интересов возрастает. Мы все больше зависим друг от друга, и, следовательно, все больше нуждаемся в совершенствовании правил поведения в обществе. Следовательно, роль государства, государственного сектора в обществе постоянно возрастает. Об этом свидетельствует статистика, см. ниже, к этому толкают и практика и теоретические рассуждения.

Ещё замечание относительно государственного и бюджетного секторов. В английском языке используется термин Public sector, который на русский язык в разных книгах переводится по разному. Более того, например в только что вышедшем переводе известного учебника по Public Economics, см. Atkinson, Stiglitz (1980), используются два по существу эквивалентных названия: государственный сектор и общественный сектор. Хотя в сложившейся у нас терминологии общественные организации не входят в государственный сектор. Согласно действующей Конституции РФ собственность общественных организаций представляет собой отдельный вид собственности. В принципе то же самое можно сказать о муниципальной собственности, которая согласно Конституции не является государственной собственностью. Кстати в упомянутом учебнике Аткинсон и Стиглиц специально отмечают неопределенность в определении государственного сектора, в том числе с измерительной, статистической точки зрения. Цитирую: “Например, для Великобритании государственный сектор в 1965 году мог быть представлен 58 % ВНП или 24 %; первая цифра включает государственные корпорации, расходы на капитал, процент по долгу и трансферты, последняя исключает их.” Разница, как видим, более чем в два раза.

К бюджетному сектору относятся экономические агенты (юридические лица), деятельность которых в основном финансируется из государственного бюджета, федерального, регионального или местного. Здесь есть неясность, что значит “в основном”. Можно понимать это следующим образом. Если прекратить бюджетное финансирование, то организация перестанет существовать, точнее выполнять свои основные функции. В количественном отношении долю бюджетных денег в общей сумме расходов конкретной организации определить труднее, но, видимо, в среднем, она составляет не менее половины. Например, в структуре затрат на исследования и разработки доля бюджетных средств составляют около 60 %. См. Наука России в цифрах (1996), стр. 43.

Место и роль публичного сектора в экономике определяется многими показателями, и, в первую очередь, его величиной, которую можно оценить, например, через долю расходов государственного консолидированного бюджета в ВВП. Применительно к России эта доля была в 1993 году равна 33.6 %, а в 1994 - 37.3 %. См. Российский статистический ежегодник 1995. Госкомстат России. Стр. 272. В странах, где методология подсчета статистических показателей не менялась в течение значительного периода времени можно посмотреть динамику, которая свидетельствует, как отмечалось выше, об увеличении доли публичного сектора в общих экономических результатах.

Данные по США. См. Rosen (1995).

   Период
Общие расходы (млрд. долл.)
Общ. расх. в млрд. 1990 долларах
1990 долл. на душу
Доля ВВП
1929 10 93 767 9.9
1940 19 187 1418 18.4
1950 61 338 2223 21.3
1960 137 584 3228 26.6
1970 317 994 4848 31.3
1975 545 1208 5620 34.1
1980 890 1365 5987 32.6
1985 1403 1663 6959 34.9
1990 1847 1847 7418 33.3
1993 2193 1998 7739 34.4

 

Из приведенных данных видно, что доля публичного сектора в США с одной десятой дошла до одной трети за немногим более чем полвека.

В других развитых странах эта доля имеет примерно такой же порядок или даже больше. См. ниже.

Доля государственных расходов в ВВП по данным 1991 года. См. Rosen (1995)

Австралия 33.9
Канада 43.0
Франция 46.3
Германия 37.4
Япония 34.4
Швеция 60.6
Англия (UK) 38.7

 

Здесь приведены суммарные цифры без разбивки по статьям расходов. Для примера приведу структуру государственных расходов США.

 

   Статьи расходов 1955 1991
Национальная оборона и международные отношения 39.3 15.4
Образование 11.5 13.9
Федеральные социальные программы (Federal Social Security) 3.9 15.8
Общественное благосостояние
(Public welfare)
2.9 7.1
Процент от займов (Interest on debt) 5.1 10.8
Прочие расходы 37.3 37.0

 

Здесь в федеральные социальные программы входят пенсионное обеспечение, программы для инвалидов и страхование по здравоохранению.

Из приведенных данных видно, что наиболее быстро растут расходы на социальные программы и общественное благосостояние, то есть растет производство публичных благ, которые можно отнести к удовлетворяющим общественные и групповые интересы.

Движущая сила общества.

Для того, чтобы общество динамично развивалось, не было в состоянии застоя или упадка, в нем должна содержаться адекватная движущая сила. Движущая сила общества в конечном счете складывается из индивидуальных действий всех ее членов. Из этого тривиального, по существу, утверждения либеральная идеология (см. Фон Мизес (1973, Фридман (1985), Хаек (19)) делает далеко идущие выводы. Утверждается, что ключом ко всему является индивидуальная свобода. Индивидуальная свобода развязывает дремлющую в людях энергию.

Рыночная экономика в понимании Адама Смита организует людей идеальным способом в этом смысле. Индивидуальная свобода максимальна. Результат всем известен и впечатляющ: рыночная сила преобразила мир за какие то два - три столетия. Роль государства при этом по Фридману и его единомышленникам минимальна. Отсюда возникла теория минимального государства (см. Nozik (1974)). На самом деле, конечно, в рамках рыночной либеральной идеологии признается, что государство играет многообразную роль в обществе, в частности, исправляя известные недостатки рынка. Не будем их здесь перечислять. Но это не означает, что доминирующая роль рыночной силы подвергается сомнению.

Отказаться от идеала, который успешно работал три столетия, трудно. Недостатки кажутся не настолько уж существенными, чтобы рухнула главная идея. И действительно, старая идея рухнет только тогда, когда на смену ей придет другая, не менее красивая, и не менее жизнеспособная, которая будет убеждать и теорией, и практикой.

Рыночный способ организации экономики привел к обществу потребления.

Соединенные штаты Америки - наиболее яркий пример общества потребления - диктуют пока мировую моду на образ жизни. Частное потребление лежит в основе. Возникает новая потребность, за удовлетворение которой люди готовы платить, и рыночная экономика немедленно организует соответствующее производство. В результате идет настоящая гонка создания искусственных потребностей. Что стоит одна только реклама предметов потребления по телевизору.

Нетрудно предвидеть, что такого типа общество потребления имеет свой естественный и скорый (так сказать, чисто физический) предел. Оно ведет как к экологической катастрофе, - съедая все больше естественных ресурсов - так и к социальной катастрофе - расслоению мира на бедные и богатые страны.

Есть еще одно исключительно важное следствие общества потребления, которое хорошо известно, но тем не менее недостаточно осознается. Речь идет о духовном прогрессе общества. Материальный прогресс, прогресс знаний (науки и техники) за время существования рыночной модели организации экономики и общества потрясающ. Можно ли то же сказать о духовном прогрессе за этот же период времени. Вряд ли. Да, декларация независимости США - впечатляющий документ. Да, современное понимание прав человека выработано в эпоху рыночного капитализма. Но одновременно повсеместно внедрился двойной стандарт - отвратительное явление, с которым мирятся люди, считающие себя гуманистами. Уже не говоря о том, что современные преступления против человечества не идут ни в какое сравнение с древними преступлениями. Достаточно вспомнить Хиросиму и Нагасаки.

Что может прийти на смену движущей силе свободного рынка? Сразу надо оговориться, что речь не идет о посягательстве на индивидуальную свободу. Скорее наоборот. Но это требует специального разъяснения.

Ибо, когда говорят о вмешательстве государства или об учете общественных интересов, автоматически возникает мысль об ограничении индивидуальной свободы.

Вдумаемся однако, что такое индивидуальная свобода. Чем меньше различного рода внешних, сознательно воспринимаемых, ограничений, тем индивидуальной свободы больше. Внешних, потому что если ты сам ставишь себе ограничение, то это не есть посягательство на твою свободу. Сознательно воспринимаемых, потому что ограничения, не воспринимаемые таковыми, не влияют на твою свободу выбора. Таково стандартное понимание.

У меня возникает ощущение, что здесь появляется пресловутый двойной стандарт. Раз человек не ощущает ограничений, значит их как бы нет. И с индивидуальной свободой все в порядке. Методы рекламы и вообще средств массовой информации показывают, как можно убедить человека в чем угодно. То есть у последнего будет полное ощущение , что он принял решение самостоятельно. Что именно так и должно быть, что таковы его вкусы, его предпочтения, соответствующие его индивидуальности. Но на самом - то деле все далеко не так. Общество, в том числе в лице частных фирм, с помощью сложившихся в нем правил поведения, писаных и не писаных норм, средств манипулирования предпочтениями оставляет человеку очень узкий коридор для его собственных решений. При этом, опять же благодаря указанным внушениям, он пребывает в мнении, что живет в обществе максимальной индивидуальной свободы, более того в обществе, где индивидуальная свобода возведена в ранг главного лозунга. Разве это не двойной стандарт.

В моем понимании уровень индивидуальной свободы в обществе определяется широтой упомянутого коридора для каждого его члена, не важно при этом, видимые его (коридора) стенки или невидимые.

Вернемся к движущей силе. Вспомним, что исходная или, лучше сказать, глубинная движущая сила, идущая от самой природы человека как части органического мира - это стремление к счастью, к комфортному состоянию, к удовлетворенности жизнью. Следующий слой, менее глубокий: стремление занимать достойное место в человеческой иерархии, стремление к власти, превосходству, стремление получить одобрение окружающих, стремление к известности, оставить след на земле, быть нужным. И только третий слой: стремление к богатству, его символам, что наиболее концентрированно воплощается в том, что мы называем рыночной силой.

Поэтому когда говорится о поиске новой движущей силы, речь идет не о глубинной переделке природы человека, а всего лишь о трансформации третьего слоя. Кстати, известная крылатая фраза “конкуренция - двигатель прогресса” относится ко второму, а не третьему слою. Непосредственно она не связана с рыночной экономикой.

Новая движущая сила порождается стремлением к высокому качеству жизни. Почему она новая? Разве рыночная сила, порождаемая стремлением к индивидуальному обогащению, не есть одновременно стремление к высокому качеству жизни. Для чего нужен коммерческий успех, богатство, как не для достижения высокого качества жизни.

Для того, чтобы показать, что это не так, начнем с примера, весьма, кстати, важного в условиях современной России. Во времена режима с плановой экономикой существовала устойчивая модель формирования молодого человека вплоть до достижения им стабильного положения в обществе. Система дошкольного воспитания, школьного образования, потом, для многих, вузовского образования вела молодого человека к состоянию готовности к работе. Проблемы жилья, питания при этом также были продуманы и отработаны. Далее вступала в действие система государственного распределения на работу. Существовало понятие молодого специалиста. Молодой специалист имел дополнительные обязанности, но был и защищен законом. Например, администрация предприятия, куда он был распределен на работу, обязана была предоставить прописку, жилье. В каком - то смысле описанная система была похожа на производство, производство молодых специалистов соответствующего качества. Формально свобода в принятии жизненных решений была полная. Но при этом имелся очевидный оптимальный путь, который государство, скажем так, рекомендовало. Поскольку государство контролировало процесс, то на выходе появлялись те специалисты, которые были нужны в плановой системе. Они без трудностей встраивались, так сказать, в жизнь.

Описанная модель разрушена с приходом рыночной экономики. Это понятно и трагедии в этом нет. Трагедия в том, что взамен не создано новой модели, адекватной новым экономическим реалиям. Взамен пустота, хаос, самотёк. Теперь молодые люди, получившие высшее образование, выбрасываются в свободное плавание в рыночной экономике. У них нет ни прописки, ни жилья, ни капитала, ни юридической защиты. В результате, обескровлены целые сектора народного хозяйства, и, в первую очередь, публичный сектор. Например, в науке потеряно целое поколение. Последствия для страны нетрудно предвидеть.

Приведенный пример говорит о том, что свободная рыночная экономика будит мощную движущую силу, сидящую в молодежи, которая направлена на завоевание места в жизни любым путем. Подчеркну слово любым. Это значит, в частности, жертвуя, моральными и этическими принципами, здоровьем, своим и окружающих, если этого требуют обстоятельства. А обстоятельства требуют. Мы это наблюдаем каждый день. И естественно, этот пример говорит о том, что в лучшие свои годы люди отнюдь не стремятся к высокому качеству жизни, скорее наоборот. А то, что это высокое качество жизни придет к ним на закате, мало радует общество. А их самих радует с примесью горечи, что жизнь уже прошла.

Государство как носитель общественных интересов могло бы возбудить новую движущую силу - стремление к высокому качеству жизни - создав принципиально новую модель роста молодого поколения. Именно государство, ибо стихийно или усилиями частных организаций необходимую модель роста молодого поколения не создашь. И дело даже не в том, что частные лица не смогут сделать общенациональную систему, а в том, что такая система будет ориентирована не на те задачи.

Воспитание нового человека - это, в том числе, своеобразная корректировка базовых потребностей, а также формирование потребностей интеллектуального, культурного, духовного характера. Вряд ли процесс воспитания нового человека может протекать стихийно, базируясь, скажем, на принципах свободного рынка. Каких людей воспитывает рынок, мы видим воочию в теперешней России. Нужна целенаправленная регулирующая роль институтов общества и, в первую очередь, государства.

В обществе потребления, особенно на развитой его фазе, собственно процесс потребления становится высшей ценностью. Производство, производственная активность, уходит на второй план. Идеалом молодежи становится больше потреблять, а не становиться творческой производительной личностью. Такая психологическая установка сама по себе разрушительна для общества, размывает его движущую силу. Направить воспитание , образование на созидание, на творчество, на производство, а не на потребление, становится все более актуальной задачей для современного развитого общества.

Свободная рыночная экономика не способна инвестировать в человека в достаточной степени. Ибо отдача на вложенный капитал не может конкурировать с вложениями в другие сферы. Конечно, инвестирование в человека многоканально. Но государство здесь ведущее, особенно на первоначальном этапе. Быстрый рост так называемых новых индустриальных стран, в основном, стран юго-восточной Азии (Южная Корея, Сингапур, Малайзия, Тайвань и др.) во многом объясняется массированными вложениями в человека: опережающий рост человеческого капитала (human capital). Особенно показательна в этом отношении Южная Корея, где государство вложило в создание инженерного корпуса огромные средства. Кстати, современные теории экономического роста обосновывают все возрастающее значение фактора human capital.

Основной потенциал общества и экономики сидит в людях. Организация общества раскрывает или не раскрывает этот потенциал. Либеральная рыночная модель освобождает энергию людей как бы нецеленаправленно. В этом мире правит бал сильнейший, сильнейший в мире бизнеса, направленного на удовлетворение искусственно создаваемых потребностей. Люди в обществе играют двоякую роль. С одной стороны они носители интересов и целей. А, с другой, они же исполнители, работники. Общество организует и осуществляет процесс воспроизводства того и другого. Ключевым является именно процесс воспроизводства, должным образом сбалансированный. Представим себе крайний случай: высоко развитое общество, идеалом в котором является семья с одним ребенком, воспитываемом на высшем уровне вплоть до “полного” вступления в жизнь. В этом обществе нет преступности, уровень культуры необычайно высок. Но оно обречено на вымирание по банальной причине: смертность превышает рождаемость.

Несколько слов о концепции устойчивого развития. В ее основе лежит тривиальная идея и одновременно глубокий смысл. Какие бы современное общество ни использовало технологии, производство требует расхода природных ресурсов, которые ограничены. Темп расхода природных ресурсов намного выше темпа их воспроизводства или восстановления. И этот темп со временем только возрастает. Нетрудно предвидеть и даже подсчитать неизбежность экологической катастрофы, если современное общество потребления будет процветать и расширяться. Таким образом, устойчивое развитие (sustainable development) может осуществиться лишь тогда, когда достигается баланс расхода и воспроизводства природных ресурсов. При этом расход не воспроизводимых ресурсов сводится к минимуму.

Следовательно, устойчивое развитие может быть достигнуто при двух сценариях:

  • сохранится и будет доминировать общество потребления, а население земли устойчиво уменьшается заметным темпом.

  • возникнет новое общество, в котором чисто материальная компонента будет развиваться до согласованных пределов, а основной рост будет происходить в не материальной, в первую очередь, интеллектуальной и духовной сферах. При этом население земли может увеличиваться в разумных пределах.

Ясно, что первый сценарий нереалистичен, ибо общество потребления при всей его безжалостности не может сделать человеконенавистническую идеологию доминирующей, следствием которой было бы уничтожение остального мира. А второй сценарий не может родиться сам собой. Его должно выработать человечество в лице своих лучших умов, и, следовательно, в некотором смысле сверху. А исполнителем будет государство. Такое развитие человечеству диктуют общественные интересы, которые, как известно, не совпадают с частными. Поэтому ожидать, что общество либеральной индивидуальной свободы само собой, автоматически придет ко второму сценарию, не приходится.

Новая модель государства.

В современном западном экономическом образовании курс Public Economics (или Public Finance) является обязательным для практически всех экономических специальностей и составляет, тем самым, неотъемлемую часть общего (и особенно высшего) экономического образования. Но если посмотреть на этот курс, да и на всю проблему публичного сектора более внимательно, то чувствуется некая принудительность темы. То понимание экономики, которому учат в университетах, и которое доминирует в теориях, рассматривает публичный сектор скорее как досадную помеху, как нечто неизбежно существующее, но в идейном плане отнюдь не важное. Движущая сила общества и экономики, в частности, находится, по распространенным представлениям, где угодно, только не в публичном секторе.

В связи со сказанным, имеющиеся изложения теории публичного сектора носят, в известной мере, технический характер. Как наиболее рационально собирать налоги, и, соответственно, как их тратить, чтобы наиболее рационально удовлетворять общественные нужды - основное содержание теории. Например, имеется огромная литература по экономике публичных благ (public goods). Другой достаточно развитый аспект теории - общественный выбор (public choice). См. Мулен (1991).

Истинная же роль публичного сектора остается за кадром, не обсуждается. Хотя практика повседневной жизни любого государства показывает, что именно государство, его институты, ответственны за эффективность функционирования экономики в целом, в том числе, частного сектора. Какие - то фрагменты теории публичного сектора содержатся в работах по определению оптимального соотношения публичного и частного секторов, природы процессов приватизации и национализации собственности. Но это только один аспект проблемы. Главное - роль публичного сектора как движителя общественного прогресса, не рассматривается вовсе.

В чисто теоретическом плане государство рассматривается обычно как исправитель недостатков рынка в рамках концепции общественного благосостояния. Концепция общественного состояния (см. например, Аткинсон Стиглиц (1995) стр. 459 и далее) состоит в утверждении, что общество стремится к максимизации так называемой функции общественного благосостояния , где функции полезности всех членов общества. Обычно рассматривается функция вида (приведенная Роулсом, Rawles (1971))

где при параметре , пробегающем значения от 0 до , получаются все подходы от утилитарного ( = 0) до эгалитарного ()

Поскольку состояние рыночного равновесия дает максимум подобного рода функции только при весьма жестких нереалистичных условиях, то роль государства как раз и состоит в том, чтобы своим вмешательством исправить рыночное состояние и привести его к состоянию, обеспечивающему максимум функции общественного благосостояния.

Это так называемый индивидуалистический подход к определению концепции общественного благосостояния. Он исходит из принципа первичности индивидуальных потребностей. Некоторый отход от этого принципа содержится в работе Тобина (Tobin (1970)), где он рассматривает рационирование потребления некоторых благ как условие приближения к максимуму общественного благосостояния. Например, речь идет о публичных по своей природе благах, которые производят частные компании. Или о благах, где естественно говорить о гарантированном минимуме (образование, медицинские услуги, жилье). Кстати сказать проблема рационирования, в частности, гарантированного минимума гораздо больше внимания привлекала у авторов, исследовавших плановую экономику. См. например, Makarov, Rubinov, M. I. Levin, (1995).

Неиндивидуалистический подход, который разделяет автор настоящего доклада, предполагает, что индивидуальные, групповые, общественные потребности одинаково первичны, не сводятся одни к другим.

При этом необходимо сделать следующее замечание. Независимо от того, что признается первичным, только индивидуальные потребности или групповые и общественные тоже, принципиальное исходное положение состоит в заданности извне (свыше) этих потребностей. Осознанно или неосознанно признается, что потребности - это святое, на что нельзя покушаться. Общество со всеми его институтами, в том числе экономикой, существует для того, чтобы удовлетворять потребности (индивидуальные, групповые, общественные).

В действительности все прекрасно знают, что потребности меняются, формируются, воспитываются. То, что они предполагаются неизменными в существующих теориях - поразительное по своей нереалистичности ограничение. В формальных теориях с серьезным использованием математического аппарата это понять можно. Более того это даже неизбежно в доминирующих подходах к моделированию общества и экономики. Критерий того, что хорошо, а что плохо, должен быть задан извне. Вспомним критерии оптимальности по Парето, критерии, формализуемые с помощью аппарата теории игр. Там целевые функции игроков должны быть заданы. Предположение считать их не заданными моментально приводит к необходимости вводить целевые функции каких-то мета или супер-игроков, через которых определялись бы целевые функции игроков нижнего уровня. То есть подход принципиально остается прежним. Хотя , конечно, отличия большие. Ибо, например, государство, как одно из действующих лиц, может корректировать функции полезности индивидов - других действующих лиц. И наоборот, поведение индивидов может корректировать целевую функцию государства.

Действительно принципиально иным является эволюционных подход. Здесь не предполагаются заданными критериальные функции. Критерий выживания является единственным, определяющим все остальное. У эволюции нет заранее заданной цели. Цели игроков формируются, изменяются в зависимости от внешних условий.

В свете вышесказанного представляется, что новая теория государства должна впитать в себя следующие положения.

    1. Групповые и общественные интересы столь же первичны, как и индивидуальные. (Отсюда видоизменение теории общественного благосостояния).

    2. Коррекция индивидуальных предпочтений есть важная функция государства.

    3. Принципы справедливости, в частности, обеспечение минимального уровня потребления некоторых жизненно важных благ, есть первейшая обязанность государства.

    4. В развитие пункта 2: государство создает и совершенствует модель роста и вхождения в самостоятельную жизнь молодого человека. (воспитание, образование, обеспечение качества жизни в молодые годы, первая работа).

    5. Государство - возбудитель новой движущей силы экономики и общества: создание конкурентной среды за достижение высокого качества жизни.

    6. В развитие предыдущего пункта: выработка стандартов и всемерная поддержка стремления к высокому качеству жизни. Использование эволюционного подхода для этой цели.

Нетрудно видеть, что сформулированные положения принципиально меняют роль государства в обществе по сравнению с либеральной моделью. Российская модель общества, как мне представляется, должна отличаться прежде всего этой новой ролью государства. Перестройка государства в указанном направлении - долговременная задача. Это создание концепции, теории, программы развития. Создание новых институтов, доселе не имевших места, например, комитета социальных стандартов или министерства молодежи.

О качестве жизни.

Когда говорят о движущей силе общества как о стремлении к высокому качеству жизни, первый вопрос, который возникает: что понимается под качеством жизни.

Начнем с того, что этот термин “занят”, он широко используется в литературе по здравоохранению. См. например, Bowling, (1991). Это книга - справочник, в которой приводятся практически все известные в литературе определения качества жизни (quality of life) и способы его (качества) измерения.

Жить здоровым или больным - большая разница. На Западе последнее время вместе с традиционным показателем продолжительности жизни используются показатели, где продолжительность жизни корректируется с учетом продолжительности и тяжести болезней, потери трудоспособности и т. д. Есть попытки корректировать продолжительность жизни с учетом совокупности факторов, называемых качеством жизни. В Российской экономической школе написаны две дипломные работы, посвященные способам корректировки показателя продолжительности жизни. Об этом упоминается в статье в “Известиях” О. Лациса в ноябре 1996 года.

Однако есть другие аспекты понятия “ качества жизни”, никак не связанные со здоровьем. Не зря есть выражение: “деньги есть, а счастья нет”. Удовлетворенность жизнью, насыщенность жизни событиями, принесенная человечеству или кому - то конкретному польза должны учитываться в показателе качества жизни. В упомянутой книге Ann Bowling этот аспект качества жизни обсуждается, но сколько-нибудь убедительных способов измерения этого расширенного понимания качества жизни не предложено.

В социологической литературе найдется немало работ, имеющих отношение к качеству жизни. Это, в первую очередь, исследования по образу жизни, его классификациям. Понятие образа жизни также чрезвычайно ёмкое. Здесь главное не измерение, а классификация - выделение типов. В обыденном языке используются разнообразные эпитеты, касающиеся образов жизни: городской образ жизни, сельский, патриархальный, современный, западный, американский, спортивный, пассивный, здоровый, замкнутый, семейный, и т. д. Есть классификация по уровню дохода, образования, по религиозной принадлежности. Образ жизни и качество жизни, несомненно, коррелируют.

Закономерность общества потребления: движущая сила направлена на погоню за богатством и за символами богатства. Больше богатство - выше социальный статус. Богатство (переменная состояния) можно заменить на доход (потоковая переменная). Кумиры - богатые, сделавшие себя богатыми. Символы богатства расслаивают общество, что противоречит принципам равенства и демократии.

Закономерность общества качества жизни: движущая сила направлена на повышение качества жизни. Люди стремятся вести такой образ жизни, который соответствует более высокому её (жизни) качеству.

Возникает естественный вопрос: может ли общество потребления трансформироваться в общество качества жизни без изменения экономической модели. Некоторые современные тенденции в развитых странах вроде бы свидетельствуют о такой возможности. Например в США здоровый образ жизни популяризируется на национальном уровне. Вообще здоровье становится приоритетным показателем. В потребительской корзине американца “покупка здоровья” занимает значительное место. Обратимся к статистике.

В США по данным за 1993 год сектор здравоохранения производил 14 % ВВП и в нем было занято 9 миллионов человек. Для сравнения: в России в 1994 году затраты на здравоохранение составили 17.3 трлн. руб., то есть около 3 % ВВП.

Расходы на здравоохранение в США.

  Период
Общие расходы в млрд. 1991 долл.
Доля в ВВП
Доля государства в общих расходах
1961 121 5.5 21.9
1965 165 5.9 20.3
1970 245 7.4 34.6
1975 322 8.4 38.9
1980 414 9.2 39.7
1985 535 10.5 40.1
1990 704 12.2 40.9
1992 808 14 n.a
1995 973 15.7 n.a

 

Из этой таблицы видны, с одной стороны, ярко выраженная динамика роста расходов на здравоохранение, а, с другой стороны, увеличение доли государства в этих расходах.

Другие развитые страны приближаются к США по данным показателям. Быть может, несколько выпадает Англия, но там здравоохранение, в основном, государственное и потому более дешевое. См. таблицу:

Расходы на здравоохранение на душу населения (1990 г. в долларах США) в некоторых развитых странах мира.

Канада 1794
Западная Германия 1287
Япония 1113
Соед. Королевство 909
США 2566

 

Общество потребления накладывает свой характерный отпечаток на услуги здравоохранения. Сектор здравоохранения - это гигантская индустрия с триллионными, как мы видели, оборотами, работающая по законам рыночной экономики. Там так же как и в других секторах, производящих потребительские блага, идет гонка создания искусственных потребностей: море лекарств, практически ничем не отличающихся друг от друга, кроме красочной обёртки, ненужные хирургические операции, расцвет рынка сомнительных, так называемых нетрадиционных, услуг. Поэтому представляется достаточно вероятным, что в рамках общества потребления образ жизни и, соответственно, качество жизни всегда неизбежно будут искажены избыточными потребностями, что, в конечном счете, приводит к экономической неэффективности системы.

В дальнейшем изложении удобно оперировать понятием пакета, или, более общо, принципом пакетирования. Означенный принцип широко применяется в современной жизни в самых разнообразных ее сферах. Хотя не всегда это осознается. Известная из семейной статистики потребительская корзина является примером пакета.

Если говорить о современном типе общества потребления, то оно явно идет в направлении, когда, в сущности, покупаются не продукты и услуги россыпью, а покупается именно пакет продуктов и услуг. Идя дольше, можно сказать, что покупается уровень жизни в целом. Хотя внешне это выглядит как покупка продуктов и услуг. То есть формальная разница между покупкой обеда по выбору и комплексного обеда сохраняется в обществе, где все помешаны на свободе. Часто, как известно, пакет навязывается. Купив одну вещь, неизбежно покупаешь много ещё. Производитель эксплуатирует возникший на чем - то повышенный спрос. Кукла "Барби", пользующаяся высоким спросом у детей, породила через некоторое время жениха, подружку, а потом автомобиль, аэродром и ещё кучу барахла, якобы связанного с миром "Барби".

Описанный принцип пакетирования, успешно развиваемый обществом потребления, должен быть принят на вооружение обществом качества жизни. Например, постоянно эволюционирует, совершенствуется понятие жилища. Современный дом, или, лучше сказать, дом будущего, устроен таким образом, что он расходует минимум энергетических ресурсов (электроэнергии и проч.), минимально загрязняет окружающую среду, предоставляет максимальный комфорт по, так называемым, базовым потребностям.

Вдумаемся однако в понятие пакета в широком смысле этого слова, того пакета, которое определяет качество жизни. Это уже отнюдь не потребительская корзина, не всё в нем покупается. Тогда довольно бессмысленно говорить о его стоимости. Не все продукты и услуги имеют цену и вообще могут быть оценены в стоимостных категориях. Например, семейные ценности, семья как таковая, жизнь в семье, всё это вряд ли можно оценить в деньгах. То же самое можно сказать и об активностях, осуществляемых человеком. Одни активности приносят деньги, другие их тратят, третьи нейтральны к деньгам. Например, физические упражнения типа бега. Эта активность довольно существенна для обеспечения качества жизни. Однако применить к ней экономические измерения будет большой натяжкой, да и просто не естественно.

“Расширенный” пакет не покупается, а “зарабатывается”. Парадокс общества потребления состоит в том, что для достижения более высокого общественного статуса необходимо покупать всё больше материальных благ, играющих роль символов богатства. Сами символы - нечто нематериальное, и нужны они только для формирования мнения в глазах других людей. Большой дом огромной стоимости и огромной стоимости ежедневного обслуживания - символ. Для жизни нужно пять комнат, а не пятьдесят. Суп из черепахи, доставленной сегодня на самолете с островов Полинезии - символ. Сомнительно, что такой суп вкуснее и полезнее обычного. Старуха из сказки Пушкина о рыбаке и золотой рыбке неизбежно двигалась в этом направлении. Сначала старуха хотела чего-то сугубо материального, необходимого для жизни, а потом пришла к символам. Высший символ - верховная власть, где сама золотая рыбка ходит в услужении.

Пакет в обществе качества жизни также, видимо, будет содержать в себе массу символов. Но эти символы не надо покупать за деньги. В этом гарантия конкурентоспособности нового общества, его выживания, победы в историческом эволюционном процессе. Общество качества жизни должно обеспечивать высокое качество жизни с гораздо меньшими затратами, чем общество потребления.

Заканчиваю напоминанием о роли государства при движении к обществу качества жизни. Программа - слово избитое, затасканное. Однако в данном контексте уместнее всего говорить в терминах программы, ибо программа - это начало. Дальше процесс может развиваться, поддерживаясь сложившимися институтами.

Три программы являются принципиально важными. Без них новое общество не может быть построено. На самом деле программа одна - программа строительства (воспитания) нового человека. Две остальные (здоровья и образования) можно рассматривать как составные части первой программы.

    1. Программа воспитания нового человека. На новом этапе государство инвестирует в основном в человека. Необходимо создание целого сектора (индустрии) воспитания человека, в котором образование является лишь одной из компонент. Главная компонента может быть названа духовной. Нравственные начала в человеке, мораль, этика, общее представление о базовой системе ценностей - формируются в этом тонком воспитательном процессе. Собственно, наиболее общее и правильное понятие качества жизни является одной из целей настоящей программы.

    2. Программа здоровья. Если говорить об уровне здоровья населения в настоящее время, то этот показатель для россиян потрясающе низок. В первую очередь - это продолжительность жизни как интегральный и наиболее надежно измеряемый показатель. Поэтому в области здравоохранения нужны особо энергичные меры со стороны государства.

    3. Программа образования. В программе воспитания (строительства, производства) человека блок образования наиболее трудоемок и масштабен. К сожалению, размывается стандарт образования, сложившийся в период Советской власти. А в понятии современного стандарта жизни уровень образования весьма высок и постоянно возрастает. Человек без образования, без определенного “джентльменского набора” знаний просто выпадает из современной жизни. А страна без соответствующих категорий специалистов не способна воспринимать современные технологии, определяющие лицо экономики. Хочешь иметь развитую экономику, вкладывай сначала в образование людей. После феномена стран юго-восточной Азии это изречение следует воспринимать как руководство к действию.

В заключение следует заметить, что в докладе почти ничего не говорилось о роли государства в осуществлении переходного периода от плановой экономики к рыночной. Эта тема широко обсуждается в литературе. См. например, Borish, Michael S., Noel. М. (1996). Это отдельный, более частный вопрос, хотя и чрезвычайно актуальный в настоящее время. Мне представляется, что первоочередной программой Российского государства в настоящее время должно быть создание современной платежной системы. Платежная система представляется на первый взгляд чисто технической компонентой. В действительности в современной экономике эта компонента становится ключевой для эффективного функционирования общества. Теневая экономика, коррупция, уход от налогов, неплатежи - всё это звенья одной цепи, разрубить которую невозможно без современной системы платежей, базирующейся на электронных деньгах.

Приложение.

Модель Эрроу - Дебре выглядит в рассматриваемой ситуации следующим образом. Пространство продуктов имеет размерность n + 2, где продукт с номером 1 есть частное благо, оставшиеся номера относятся к публичному благу. Считается, что публичное благо, потребляемое разными агентами, это (формально) разные продукты. Таких агентов - потребителей n + 1, где n индивидов плюс государство как выразитель общественных интересов.

Производители (индивиды) j = 1,… n имеют множество производственных

возможностей Yj = ([0 , 1] ,0,… ,0) , где [0 , 1] есть отрезок между нулем и единицей.

Производитель публичного блага - государство имеет множество

производственных возможностей ,  где M-достаточно большое число.

Соответственно потребители i = 1,… , n+1 имеют нулевой начальный запас,

функция полезности есть для всех i = 1,…, n . Для i = n+1 данная

функция есть .

Вектор цен в рассматриваемой экономике есть где, согласно нормировке, p = 1.

Состояние экономического равновесия определяется

следующим образом: . Следовательно, количество произведенного частного блага равно n . Суммарная прибыль также есть n , поскольку прибыль государства как производителя равна нулю. Бюджет государства как потребителя есть .

Соответственно, бюджет индивида есть . Поскольку все индивиды идентичны друг другу, то они потребляют одно и то же количество частного

блага и одно и то же количество публичного блага . В соответствии с требованием

материального баланса по производимому продукту . Далее, поскольку

 каждый индивид максимизирует свою целевую функцию при бюджетном

ограничении , то можно найти максимум функции , где L есть множитель Лагранжа, приравняв её частные производные по x и по g нулю.

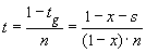
Получим , L = t или .

С другой стороны, соотношение влечёт . Соотношение влечёт , и далее .

Литература.

  1. Atkinson, Anthony B. Stiglitz, Joseph E. (1980). Lectures on Public Economics. Mc Grow-Hill 1980. Перевод на русский язык: Энтони Б. Аткинсон, Джозеф Э. Стиглиц “Лекции по экономической теории государственного сектора”. “Аспект-Пресс”, 1995.

  2. Borish, Michael S., Noel, Michael. (1996) “ Private Sector Development During Transition” World Bank, Washington, DC, 1996.

  3. Bowling, Ann (1991), “Measuring Health”. Open University Press, Milton Keynes, Philadelphia, 1991.

  4. Бухвальд Е. М. Институты публичной собственности и экономический механизм федеративных отношений. Федерализм № 3, 1996.

  5.  Cornes, Richard and Sandler, Todd (1986) “The Theory of Externalities, Public Goods, and Club Goods”. Cambridge University Press 1986.

  6. Friedman, Milton A. “Free to choose”, 1985.

  7. Haek,”Individualism and the Economic Order” Chicago University Press, 1948.

  8. Макаров В. Л. “Российская модель общества” Путь Российских реформ, Изд. Российский экономический журнал, стр. 51 -64 , 1996.

  9. Makarov, V. L., Rubinov, A. M. and Levin, M. I. “MATHEMATICAL ECONOMIC THEORY: Pure and Mixed Types of Economic Mechanisms.” Advanced Textbooks in Economics. v. 33. ELSEVIER, North-Holland, 1995. 610 pages.

  10. Мизес (1995), Людвиг фон Мизес, “Либерализм в классической традиции”, Изд. Начала - Пресс, Москва 1995. Перевод с английского издания 1962 г.

  11. Musgrave R. A. and P. B. Musgrave (1976) Public Finance in Theory and Practice. 2 nd edn. Mc Grow-Hill, 1976.

  12. Мулен Э. Кооперативное принятие решений: Аксиомы и модели. Изд. Мир. 1991. Перевод с английского.

  13. Наука России в цифрах. Краткий статистический сборник. ГКНТ и РАН, 1996.

  14. Nozick, R. (1974) Anarchy,, State and Utopia., Basil Blackwell, Oxford.

  15. Rawles, John. A Theory of Justice. Cambridge, MA: Harvard University Press, 1971.

  16. Rosen, Harvey S. (1985) “Public Finance” 4th edition, Richard D. IRWIN, INC. 1995.

  17. Российский статистический ежегодник, Госкомстат России, 1995 г.

  18. Starrett, David A. (1988) “Foundations of Public Economics”. Cambridge University Press, 1988.

  19. Tobin, J. “On limiting the domain of inequality”, Journal of Law and Economics, 1970, 263 - 277.

  20. Рио-де-Жанейро (1992). О всемирном конгрессе по устойчивому развитию см. например, в книге “Экология. Экономика. Бизнес. Эколого-экономические аспекты устойчивого развития”. ИРИС-ПРЕСС, 1995.

     

 

Источник: www.cemi.rssi.ru/rus/publicat/e-pubs/d9701t/d9701t.htm

                  

 

 
 

Контакты:

ЦЭМИ РАН 117418, Москва, Нахимовский проспект, 47, комната 1110