Центр ситуационного анализа и прогнозирования ЦЭМИ РАН

Decision Support and Forecasting Center CEMI RAS

 

 

 

 

Критика российских реформ

 

Сравнительный анализ моделей экономических реформ в посткоммунистических странах

 

Бродский Б.Е.

 

 

 

1. Введение

“История не терпит сослагательного наклонения”. Этот тезис побуждает нас примириться с наследием прошлого. Однако будущее не предопределено и выбор его зависит от нашего понимания прошлого. Представляется, что современная Россия, которой по наследству достались и “ресурсное проклятие”, и авторитарная власть, и дремучая массовая ментальность, презирающая ценности свободы и демократии, стоит перед последним выбором: какой страной ей быть и какую экономику строить? Заглянув в историю XX столетия, мы увидим Россию в эпицентре глубинных социальных катаклизмов, мировых войн и революций: Октябрьской революции 1917 года, Второй мировой войны (1941-1945), социально-экономических реформ 1990-х. Попытка понять суть этих явлений неизбежно выводит нас на поиск альтернатив, нереализованных вариантов прошлого.

Сегодня мы наглядно видим, как страны, стартовавшие в начале 1990-х из почти одинаковых начальных условий, разошлись спустя 15 лет по диаметрально противоположным социально-историческим полюсам: на одном полюсе – ценности свободы и личной ответственности, интеграция в европейское экономическое пространство, на другом полюсе – “особый путь”, раболепие перед сапогом власти, ресурсное чванство и, в конечном итоге, вновь изоляционизм и маргинальность “ресурсно-отверточной” колонии. То, что мы наблюдаем сегодня в России - это отчаянная попытка власти резко изменить вектор макроэкономической эволюции через ускоренное развитие наукоемких отраслей и диверсификацию экономики. Выбранный путь – создание госкорпораций – далеко не бесспорен, но, по-видимому, вынужден в условиях ограниченных временных и финансовых ресурсов.

“Инновационный прорыв”, “бесповоротный разрыв с прошлым”, “взрыв инновационной и инвестиционной активности” - таковы актуальные темы, в основе которых, как нетрудно убедиться, лежит метафора “обрыва”, “облома”, резкого взлома накопившихся негативных тенденций в экономической динамике. Следует задуматься, однако, что эти тенденции сформировались не сами собой, а именно в результате схожих благих намерений и начинаний в экономической политике начала 1990-х годов, когда новая либеральная элита решила “бесповоротно порвать” с наследием социалистического прошлого в России. Этот роковой исторический цикл в России “прорыв-облом-подъем-стагнация-кризис” вовсе не системно универсален, как нас пытаются убедить политологи-государственники, а суть следствие уникальных особенностей российского менталитета, которые мы рассмотрим ниже. В российской истории мы наблюдаем множество резких разрывов, обломов и скачков, всегда сопровождающихся ритуальными заклинаниями об “отсутствии политических и экономических альтернатив”. Однако подобные альтернативы есть всегда, стоит только заглянуть в историю других стран и экономик.

Чтобы понять социально-экономические альтернативы, мало просто сравнить внешние признаки различных экономических систем, необходимо исследовать исходные структурные аксиомы, заложенные в основания той или иной системы, нужно понять, каким образом эти структурные особенности приводят к формированию специфических институтов и инструментов экономической политики. В этой работе мы вначале попытаемся исследовать различные модели экономических реформ в посткоммунистических странах, а именно: P-модель (Poland) экономических реформ, характерную для большинства посткоммунистических стран ЦВЕ с прототипом польских экономических реформ 1990-х годов, C-модель (China) экономических реформ в Китае и R-модель (Russia) экономических реформ, характерную для стран постсоветского пространства с прототипом российских реформ 1990-х годов. Анализ сравнительных особенностей этих моделей реформ позволит сосредоточиться на перспективах новой модели экономического развития (N-модель), формирующейся сегодня в России.

Для начала стоит освежить в памяти саму обстановку этих реформ, обратив внимание на некие невидимые поверхностному наблюдателю ключевые события и структурные решения в сфере экономической политики, из которых впоследствии, словно из неприметных зерен, проросли все институциональные и макроэкономические особенности конкретных экономических систем.

Вот они, исходные вехи польских радикальных реформ конца 1980х-начала1990х годов:

  • Легитимация и выход на политическую авансцену профсоюза “Солидарность”, возглавляемого Л.Валенсой

  • Достижение политического консенсуса оппозиции с государственной властью (Ярузельский) по вопросам экономических реформ

  • Приезд Дж. Сакса с группой иностранных экономических советников в Польшу в конце 1980х и обсуждение основных положений и рекомендаций “Вашингтонского консенсуса”

  • Формирование правительства Л.Бальцеровича и начало радикальных экономических реформ по сценарию “шоковой терапии” в 1989 г.

Программа радикальных реформ в Польше предусматривала реализацию неотложных мер по либерализации цен и внешней торговли, осуществление макроэкономической стабилизации, предоставление максимальной свободы развитию нового частного бизнеса. В результате в экономике быстро сформировались два сравнительно автономных сектора: сектор новых частных фирм и сектор реструктурируемых бывших социалистических предприятий. Новые частные фирмы принялись осваивать новые виды конкурентоспособной продукции для внутреннего рынка (преимущественно потребительские товары) и, привлекая иностранные инвестиции, продвигать свою продукцию на внешний рынок. “Старые” предприятия продолжали получать финансовые ресурсы от государства (правда, в гораздо меньших объемах) и производить промежуточную продукцию для нового частного бизнеса и конечную продукцию для населения. Существенным структурным моментом в этой экономической системе было предоставление равных условий конкуренции экономическим агентам как на внутреннем, так и на внешнем рынке. Цены и курс валюты определялись фундаментальными механизмами спроса и предложения.

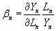
Далее мы рассмотрим принципиальные особенности P-модели экономических реформ. В этой модели приняты следующие обозначения:

Переменные:

- уровень цен (базовый индекс)

- реальный выпуск

- коэффициент прямых затрат

- номинальная ставка заработной платы

- агрегированный доход (прокси-переменная добавленной стоимости)

- импорт

- экспорт

- экспортная цена

- цена импорта

E - номинальный обменный курс доллара

- занятость

- привлеченные иностранные кредиты

- привлеченные корпоративные кредиты

Индексы:

- новый частный сектор

- “старый” сектор

- население

 

Двойные индексы: первый индекс – откуда?, второй индекс – куда? Например, - реальный объем поставок промежуточной продукции от “старого” сектора в “новый” сектор.

Рассмотрим исходные уравнения модели для основных секторов экономики.

Новый частный сектор

Вначале мы рассматриваем декомпозицию реального выпуска на экспортные поставки, реальный выпуск для “старого” сектора и населения, соответственно:

,         (1)

далее записывается уравнение для производственной функции

  .                    (2)

После этого записывается уравнение для агрегированного дохода в новом частном секторе: этот доход складывается, соответственно, из доходов от экспорта, доходов от поставок продукции для населения и “старого” сектора за вычетом затрат на закупки продукции “старого” сектора, затрат на импортные поставки, плюс суммарный объем инвестиций в новый частный сектор:

                  (3)

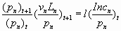
Реальный объем импорта в новый частный сектор зависит от факторов реального выпуска и реального обменного курса:

         (4)

Характерной чертой модели является введение временного лага в уравнения для заработной платы и налогов:

номинальная заработная плата

                (5)

налоги:

                   (6)

где - последовательные временные интервалы, - коэффициент политики в области заработной платы; - приведенная налоговая ставка.

“Старый” сектор

Агрегированный доход:

            (7)

Импорт (в реальном выражении)

                                         (8)

Номинальная заработная плата

                (9)

Налоги:

                  (10)

Население

Номинальные доходы:

            (11)

,                    (12)

где - средняя ставка социального трансферта; - количество населения, получающего социальные трансферты.

Реальные потребительские расходы:

                               (13)

     (14)

Уравнение (13) представляет собой кейнсианскую модель потребительской функции, связывающую реальные потребительские расходы и реальные доходы населения с учетом коэффициента предельной склонности к потреблению . Уравнение (14) связывает реальные потребительские расходы с реальным объемом производства для населения и импортом с учетом фактора реального обменного курса. Коэффициент - это предельная склонность к потреблению импорта.

Существенной особенностью модели является учет производственных и финансовых взаимосвязей между секторами экономики, а также мотивов экономического поведения агентов. Реальные объемы поставок промежуточной продукции равны:

          (15)

Подлинной сутью процесса экономической трансформации является радикальное изменение мотивов экономического поведения агентов: от стремления выполнять и перевыполнять плановые задания, “спущенные” им вышестоящими инстанциями, они переходят к мотиву получения максимальной прибыли от производства. Соответственно, в секторе нового частного бизнеса прибыль производства запишется следующим образом:

       (16)

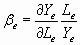
Выбор ресурсов труда и капитала осуществляется исходя из критерия максимизации прибыли: , который, в частности, приводит к следующему условию для определения занятости в новом частном секторе:

              (17)

или

                        (18)

где - эластичность реального выпуска по труду.

Отметим, что как коэффициенты прямых затрат, так и коэффициенты эластичности рассматриваются в качестве структурных параметров модели, темпы изменения которых предполагаются существенно меньшими в сравнении с динамикой основных переменных модели: реального выпуска, цен, занятости и др.

Наряду с либерализацией цен и внешней торговли, а также макроэкономической стабилизацией, на повестку дня в процессе экономических реформ ставится задача реструктуризации “старого” сектора, предусматривающая переход к новым принципам мэнеджмента, мотиву максимизации прибыли производства, сокращению избыточной занятости. Поэтому для “старого” сектора справедливы критерий эффективности и соотношение, аналогичные (17)-(18), т.е.

                         (19)

С учетом (18)-(19) зависимость (11) для номинальных доходов населения приобретает следующий вид:

             (20)

Подставив это выражение в уравнение для реальных потребительских расходов

             (21)

получим:

                              (22)

где коэффициенты зависят от всех параметров модели и с высокой точностью равны:

.

Отметим существенный вывод, следующий из уравнения (22): с ростом реального выпуска нового частного сектора падает объем выпуска “старого” сектора. Этот вывод объясняется тем, что в сравнительно однородных условиях конкуренции в рамках P-модели “новый” и “старый” сектор являются “антагонистами”: чем более развивается новый частный бизнес, тем сильнее происходит реаллокация ресурсов труда и капитала от “старого” к “новому” сектору и тем больше предприятий приватизируются и переходят в статус “новых” частных фирм.

С учетом зависимости (22) уравнение (3) для агрегированного дохода в “новом” секторе приобретает следующий вид:

                     (23)

Далее рассмотрим уравнение (5) для номинальной заработной платы в “новом” секторе:

Поделив обе части этого уравнения на , получим:

                                                   (24)

Левую часть (24) преобразуем с использованием (18), правую часть (24) – на основе (23). Тогда получим результирующее уравнение для динамики реального выпуска в новом частном секторе:

       (25)

Уравнение (25) позволяет исследовать факторы, влияющие на экономический рост в P-модели. Следует начать с фактора инфляции , входящего в правую часть (25). Политика “шоковой терапии”, включавшая либерализацию цен и обменного курса валюты на начальном этапе реформ, приводила к чрезвычайно высоким темпам инфляции в первые 2-3 года реформ и завышенным инфляционным ожиданиям . Это был “шок”, последствия которого обескуражили многих именитых теоретиков реформ (см. Сакс (1992), Бланшар, Дорнбуш, Фишер и др. (1994)). Эти последствия заключались в глубоком спаде производства и агрегированного выпуска, получившем впоследствии название “трансформационного спада” (Корнаи, 1998). Зависимость (25) позволяет обосновать закономерность этого экономического спада, сопровождающего политику “шоковой терапии” на начальном этапе реформ.

Помимо первоначального “шока”, была “терапия”, заключавшаяся в политике макроэкономической стабилизации и существенных объемах иностранных и корпоративных инвестиций в новый частный бизнес. Эти факторы привели к быстрому снижению высоких темпов инфляции и началу роста реального выпуска нового частного сектора спустя 2-3 года после исходного “шока”.

Следует особо остановиться на факторах внешнеэкономической конъюнктуры, влияющих на динамику агрегированного выпуска. С распадом СЭВ в 1990 году посткомунистические страны ЦВЕ столкнулись с утратой привычных внешнеэкономических рынков, что повлекло за собой общий экономический спад. Спустя 2-3 года новые экспортные ниши были найдены, преимущественно на высококонкурентных европейских рынках промежуточной продукции. Соответственно, современная динамика экспорта посткоммунистических стран ЦВЕ тесно связана с темпами роста европейской экономики, что подчеркнуто вступлением большинства этих стан в ЕС.

Вместе с тем, весьма существенным фактором экономического роста является политика реального обменного курса (в современных условиях – курс доллара к евро). Обозначив реальный обменный курс доллара через , где - базовый индекс потребительских цен в США, из уравнения (25) получим следующий комплексный фактор, определяющий характер влияния текущего реального обменного курса на экономический рост:

                   (26)

Анализ зависимости (26) позволяет утверждать, что в периоды благоприятной внешнеэкономической конъюнктуры (высокие мировые и экспортные цены , рост внешнего спроса на продукцию нового частного бизнеса) целесообразно повышать реальный обменный курс доллара. Однако при изменении внешнеэкономической ситуации, в частности, при росте мировых цен на нефть, необходимо снижать реальный обменный курс доллара для стимулирования экономического роста.

Уравнение (25) позволяет выявить роль фактора относительных цен “старого” и “нового” сектора в стимулировании экономического роста: чем ниже текущее соотношение этих цен, тем выше экономический рост. Отметим, что во многих посткоммунистических экономиках сектор реструктурируемых предприятий охватывает крупные инфраструктурные монополии, например, в электроэнергетике и транспорте. Ограничение темпов роста тарифов на услуги и продукцию этих монополий, действительно, создает предпосылки для снижения издержек и экономического роста в секторе нового частного бизнеса.

C-модель

Современный Китай начинает претендовать на статус экономической сверхдержавы: среднегодовые темпы экономического роста в течение последних 10-15 дет не опускаются ниже 10 процентов, быстро развиваются отрасли высоких технологий, существенно растут реальные доходы населения. Интересно, однако, проследить, с чего начиналась эта удивительная история экономического успеха. В начале 1980-х, когда страна лежала в экономических развалинах после “культурной революции” Мао 1960-70х годов, пришедший к власти Дэн Cяопин стоял перед трудным выбором: какую модель экономико-социального развития предложить Китаю, что сделать, чтобы отвести страну от пропасти нищеты и голода? Недостатка в советниках и моделях не было: западные “светила” предлагали скорейший переход на рыночные принципы экономического развития, некий прототип “шоковой терапии” для Китая, крупные партийные боссы советовали “оставить все как есть”, ограничившись косметическим ремонтом плановой системы хозяйствования. Следует отдать должное Дэн Сяопину: он принял решение, отличное от этих двух крайностей рыночного и марксистского фундаментализма, решение, обеспечившее современный экономический рост и процветание Китая.

Чтобы понять суть этого решения, необходимо заглянуть в китайскую историю, в тайнопись древних философских трактатов и понять особенности уникального китайского менталитета. “Не дай тебе небо жить в эпоху перемен”, - гласит один из тезисов Конфуция. Но ведь менять что-то нужно, невозможно жить далее на развалинах “культурной революции”! Да, необходимо проводить реформы, но также важно создать видимость преемственности в идеологии и экономической политике! Отсюда – уникальное сочетание несовместимых противоположностей: идеологической власти Компартии и рыночных свобод для нового частного бизнеса. Отсюда – знаменитая китайская “двухколейка” цен: с одной стороны, прежние заниженные “государственные” цены, с другой стороны – свободные рыночные цены на одни и те же товары. Цель: обеспечить плавное, преемственное развитие экономики, избежать резких “скачков” цен и “обвалов” выпуска.

Юмор состоит в том, что рассмотренная выше P-модель в ее структурных особенностях полностью применима к экономике Китая за исключением весьма существенной детали, связанной с выбором специфического ценового механизма – “двухколейки” цен в Китае. Именно этот ценовой механизм объясняет отсутствие высокой инфляции и завышенных инфляционных ожиданий в китайской экономике первых лет реформ, что позволило Китаю избежать “трансформационного спада”, характерного для посткоммунистических экономик ЦВЕ, России и стран СНГ.

Помимо низких ожидаемых темпов инфляции, благотворно влияющих на экономический рост, в Китае успешно реализуется политика экспортной экспансии, основанной на традиционно низких ценах на китайский текстиль и другую продукцию потребительского ширпотреба. Благодаря этой экспансии Китай успешно захватывает новые мировые рынки. Характерная черта современной китайской экономики — зависимость её от внешнего рынка. По темпам роста экспорта-импорта Китай является одним из лидеров в международной торговле. Самой конкурентоспособной продукцией является обувь и одежда. Текстильная индустрия КНР — первая в мире, поэтому экспортная продукция страны представлена в большинстве стран. Текстильные предприятия специализируются на изготовлении одежды из синтетических тканей. Предприятия этой отрасли рассеяны по всей стране, но наиболее крупные находятся в Шанхае, Кантоне и Харбине. Китайская экспортная продукция, поставляемая в Северную Америку, Японию, страны Западной Европы имеет высокие стандарты качества. Эта продукция производится в приморских провинциях страны, где сосредоточены многочисленные филиалы зарубежных корпораций. В северных и внутренних районах базируются многочисленные кустарные предприятия, выпускающие контрафактную продукцию ведущих брендов мира, отличающуюся низким качеством и такой же ценой, предназначенную для рынков России, стран СНГ и Восточной Европы. С середины 1980-х гг было достигнуто обеспечение населения продовольствием. Сегодня фрукты, рыба, морепродукты экспортируются (основной рынок сбыта продовольствия — страны СНГ, особенно Дальневосточный регион России, обеспеченный китайским продовольствием на 44 %). Кроме того, ведущим сельскохозяйственным продуктом экспорта является хлопок.

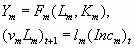
Итак, основные зависимости C-модели, включающей важнейшие макроэкономические сектора нового частного бизнеса (“n”) и “старых” (“o”) реструктурируемых государственных предприятий, совпадают с рассмотренными выше для P-модели. Итоговое уравнение для динамики реального выпуска в секторе нового частного бизнеса аналогично (25):

Вместе с тем экономическая трактовка факторов, определяющих динамику реального выпуска , существенно отличается для C-модели:

  1. Прежде всего, C-модель характеризуется градуальными реформами, предусматривающими знаменитую китайскую “двухколейку” цен, обусловливающую низкие темпы инфляции и заниженные инфляционные ожидания. Формально, динамика цен сектора нового частного бизнеса может быть описана следующей зависимостью:

  2. ,

    где - уровень цен в секторе нового частного бизнеса в момент t; - уровень рыночных цен в секторе нового частного бизнеса в момент t;

    - уровень заниженных “государственных” закупочных цен на продукцию нового частного бизнеса; .

    На содержательном уровне смысл “двухколейки” цен состоял в том, что в начале экономических реформ государство закупало 90-95% продукции нового частного сектора по заниженным “государственным” ценам и только оставшиеся 5-10% продукции разрешалось продавать по свободным рыночным ценам. Далее в ходе реформ доля продукции, продаваемой по свободным рыночным ценам, постепенно возрастала и спустя 10 лет после начала реформ была доведена до 90%. Все это позволило избежать значительного инфляционного скачка в момент перехода на рыночные условия хозяйствования и обеспечить плавную динамику экономического роста в Китае. Из приведенного уравнения для динамики выпуска в секторе нового частного бизнеса следует, что при низких темпах инфляции экономический спад не происходит. Экономика растет с момента начала реформ.

  3. Во-вторых, это политика стабильного реального обменного курса: жесткая привязка юаня к доллару, определяющая стабильность отношения и отсутствие негативного влияния укрепления реального курса национальной валюты. В приведенном выше уравнении для динамики реального выпуска мы по-прежнему можем выделить два канала влияния реального обменного курса на экономический рост в Китае: первый канал связан с динамикой внешней торговли – при укреплении юаня в реальном выражении экономический рост начинает замедляться (фактор ); второй канал связан с динамикой инвестиций в основной капитал китайских компаний – при укреплении юаня в реальном выражении растет импорт оборудования и ускоряется экономический рост (фактор ). Поэтому наиболее выигрышной валютной политикой является поддержание стабильного отношения , т.е. фактически привязка курса юаня к доллару.

  4. В-третьих, это политика экспортной экспансии за счет низких цен на экспорт . За счет этой политики происходил захват новых рынков сбыта и наблюдалось существенное расширение объема экспорта .

  5. Приток валюты в страну создавал повышательное давление на курс юаня. Чтобы избежать укрепления юаня, Центральный банк проводил политику накапливания валютных резервов, придавших существенную устойчивость финансовой системе Китая.

  6. Благоприятный налоговый режим для сектора нового частного бизнеса.

  7.  

  8. Еще одной отличительной особенностью C-модели является государственное субсидирование реструктурируемых “старых” предприятий, выпуск которых поддерживается на уровне, определяемым потребностями сектора нового частного бизнеса.

R-модель

Если основной идеей китайской цивилизации является непрерывность и преемственность, то главенствующий принцип цивилизации российской – это разлом, разрыв, промежуточное и пограничное состояние. Начиная от монгольского нашествия, через реформы Петра Первого, сквозь революцию 1917 года и до капиталистических реформ 1990-х годов – мы наблюдаем различные воплощения этого принципа в разные исторические эпохи. Интересно также, что движущей идеей любого подобного “разлома” является иноземный, заимствованный, импортированный опыт власти и хозяйствования. Заглянув в народные сказки, мы обнаружим любопытный, возобновляющийся вновь и вновь сюжетный мотив: молодой царевич отправляется на поиски “заморской” чужеземной “красы” с тем, чтобы взять ее в жены и ассимилировать на российской “почве”. А что, в России мало красивых женщин? В том-то и дело, что по убеждению российской элиты, красота и истина – всегда где-то далеко, “за морем”, а в самой России ничего, кроме зверства и пьянства, испокон веков не было. Эта фундаментальная особенность российского менталитета проявляется самым ярким образом в периоды исторического “разлома”: Петр Первый заимствует европейский опыт государственного и военного строительства, Ленин заимствует радикальную версию философии и политэкономии Маркса, российские реформаторы 1990-х годов во главе с Гайдаром и Ясиным импортируют в Россию ортодоксальный рыночный либерализм.

Важную роль в выработке плана российских реформ сыграл семинар в г. Шопроне (Венгрия), проведенный Венским институтом системных исследований (IIASA) в июле 1990 г. в рамках проекта “Экономическая реформа и интеграция”. Участники семинара – видные западные экономисты Дж.М.Пек, У.Нордхаус (Йель), Р.Дорнбуш (MIT), Р.Купер (Гарвард), Я.Ростовски, Р.Лэйард (Лондонская школа экономики), с одной стороны, и почти вся будущая макроэкономическая российская элита – Гайдар, Ясин, Чубайс, Шохин, Авен, Васильев, Григорьев, Кагаловский, Хандруев и Алексашенко. Программа семинара включала обсуждение стратегии российских реформ: вопрос о целесообразности “шоковой терапии” для России с ключевым звеном радикальной либерализации цен и введением жестких бюджетных ограничений. Итог семинара: единодушное одобрение участниками плана “шоковой терапии” для России.

Следует признать, однако, что это был план радикалов, своего рода революционеров-необольшевиков от экономической политики. По странной закономерности, именно подобные радикальные планы почти всегда реализуются в России. Магистральная же линия экономических реформ в России в то время была сосредоточена на программе 500 дней Явлинского и Шаталина, предусматривавшей более постепенный и социально ориентированный вариант экономических реформ. Эта программа конкурировала с консервативной программой Рыжкова-Абалкина в Верховном Совете СССР. Борьба этих программ к концу 1990 г. все больше напоминала подковерную схватку в недрах аппарата ЦК КПСС. Итогом этой схватки был полный разгром обеих программ, расчистивший дорогу для программы радикальных экономических реформ по методу “шоковой терапии”.

Методологической основой программы радикальных экономических реформ был ортодоксальный рыночный либерализм, базирующийся на тезисе о спонтанной рыночной самоорганизации экономической среды и метафоре “невидимой руки” рынка. Государство устранилось от контроля над экономикой, предоставив экономическим агентам полную свободу действий. Стартовала борьба за доступ к богатейшим природным и финансовым ресурсам, доставшимся России в наследство от СССР. В 1992-1994 годах оформилась новая структурная модель посткоммунистической российской экономики, характерной чертой которой стали неравные условия конкуренции для экономических агентов в трех основных секторах:

  • Экспортно-ориентированный сектор (ЭОС)

  • Внутренне-ориентированный сектор (ВОС)

  • Сектор естественных монополий (ЕМ)

Что входит в каждый сектор? Экспортно-ориентированный сектор (ЭОС) содержит нефтяную, газовую и угольную отрасль, черная и цветная металлургия, химия и нефтехимия, лесной комплекс. Внутренне-ориентированный сектор (ВОС) содержит машиностроение и металлообработку, промышленность стройматериалов, легкую и пищевую отрасль, ЖКХ, сельское хозяйство, пассажирский и коммерческий транспорт. Сектор естественных монополий (ЕМ) содержит электроэнергетику, грузовой железнодорожный и трубопроводный транспорт.

Соответственно, при моделировании российской экономики 1992-2007 гг. необходимо принимать о внимание эту базовую макроэкономическую структуру, проводя дезагрегирование по ее основным секторам.

Часто приходится слышать вопрос: что дает это дезагрегирование, помимо усложнения макроэкономического описания российской экономики? Ведь в классических макромоделях по сей день принято обходиться агрегированными макропоказателями и стилизованными гипотезами типа “функции полезности репрезентативного экономического агента”. Рискнем утверждать, что эта импортированная макроэкономическая “премудрость” ни на шаг не продвигает нас в понимании закономерностей развития российской экономики. Предлагаемый дезагрегированный подход, напротив, позволяет выявить внутренние макроэкономические “пружины” и механизмы функционирования российской экономики.

В модели будем использовать следующие обозначения:

- уровень цен (базовый индекс)

- реальный выпуск

- агрегированный доход

- коэффициент прямых затрат

- средняя номинальная заработная плата

- мировая (экспортная) цена

- реальный объем экспорта и импорта соответственно

Эти переменные будут далее сопровождаться индексами , обозначающими принадлежность сектору ЭОС, ВОС и ЕМ соответственно, например, - реальный выпуск ЭОС, - уровень цен ВОС. Часто используются двойные индексы, например, - реальный объем поставок промежуточной продукции от сектора ЭОС (первый индекс – откуда?) для сектора ЕМ (второй индекс – куда?).

Что входит в каждый сектор? Экспортно-ориентированный сектор (ЭОС) содержит нефтяную, газовую и угольную отрасль, черная и цветная металлургия, химия и нефтехимия, лесной комплекс. Внутренне-ориентированный сектор (ВОС) содержит машиностроение и металлообработку, промышленность стройматериалов, легкую и пищевую отрасль, ЖКХ, сельское хозяйство, пассажирский и коммерческий транспорт. Сектор естественных монополий (ЕМ) содержит электроэнергетику, грузовой железнодорожный и трубопроводный транспорт.

Экспортно-ориентированный сектор (ЭОС)

Будем полагать, что реальный выпуск экспортно-ориентированного сектора складывается из экспортных поставок, а также из поставок продукции для внутренне-ориентированного сектора и сектора естественных монополий:

                (27)

где Exp - реальный объем экспорта зависит от мировых цен на продукцию ЭОС, а поставки продукции для ВОС и ЕМ связаны с реальным выпуском этих секторов коэффициентами прямых затрат: .

С другой стороны, реальный выпуск экспортно-ориентированного сектора связан с объемом ресурсов труда и капитала моделью производственной функции:

                             (28)

Для описания взаимосвязей между секторами будем использовать показатель агрегированного дохода, который формируется как разность между доходом от поставок продукции сектора на внешний и внутренний рынок и затратами на поставки продукции от других секторов экономики и импортными поставками. Более точно, агрегированный доход экспортно-ориентированного сектора равен:

              (29)

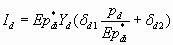
где ; затраты на импорт ресурсов и комплектующих для ЭОС: зависят от номинального обменного курса (E) и уровня цен на импортируемую продукцию (), при этом предполагается, что реальный объем импортируемых ресурсов и комплектующих пропорционален реальному объему выпуска сектора ЭОС, а также реальному обменному курсу по отношению к ценам импортируемой продукции, т.е. , где - некоторые положительные структурные коэффициенты; общий объем кредитных ресурсов для ЭОС: складывается из государственных и корпоративных инвестиций в основной и оборотный капитал ЭОС.

Другой характерной чертой модели является введение временного лага в уравнение для заработной платы в ЭОС:

,                     (30)

где - коэффициент корпоративной политики в области заработной платы, - последовательные временные интервалы.

Введение в модель временного лага между агрегированным доходом текущего периода и заработной платой последующего периода позволяет описать характерный поведенческий “паттерн” российских предприятий в 1990-2000е годы: руководители российских предприятий, как правило, сначала формируют баланс доходов и лишь затем решают, какая доля дохода пойдет на заработную плату работникам, на выплату налогов в бюджет, на прибыль и др.

Внутренне-ориентированный сектор (ВОС)

Принцип макроэкономического описания ВОС аналогичен изложенному выше для сектора ЭОС. Вначале рассматривается уравнение для агрегированного дохода ВОС

,              (31)

где , - объем импортных поставок для ВОС:

,

- объем кредитов для ВОС..

Затем выписываются уравнения для производственной функции и заработной платы в ВОС:

                                             (32)

 

Естественные монополии (ЕМ)

Для сектора естественных монополий уравнение агрегированного дохода принимает следующий вид:

      (33)

Затем выписываются уравнения для производственной функции и заработной платы в секторе ЕМ:

                                            (34)

Сектор домохозяйств

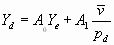
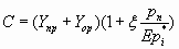
В модели предполагается, что реальный объем потребительских расходов связан с реальными доходами населения моделью кейнсианской потребительской функции:

                                                             (35)

где - коэффициент предельной склонности к потреблению.

Эконометрический анализ этой зависимости на данных российской экономики (использовались месячные данные Госкомстата по доходам и расходам населения за период 1997(1)—2005(12)) показал, что долгосрочный коэффициент эластичности реальных расходов населения по реальным доходам составляет приблизительно 0,90. Это означает, что при описании динамики реальных расходов населения в модели можно использовать классическую кейнсианскую функцию потребления вида , где — коэффициент предельной склонности к потреблению.

В модели также существенна зависимость динамики реальных потребительских расходов с динамикой производства российских потребительских товаров и услуг и динамикой потребительского импорта. Далее предполагается, что реальный объем производства потребительских товаров и услуг в России равен . С другой стороны, реальный объем потребительского импорта пропорционален реальному обменному курсу рубля по импортируемым товарам и услугам. Таким образом,

                       (36)

где — уровень цен на потребительский импорт. Здесь - коэффициент предельной склонности к потреблению импорта.

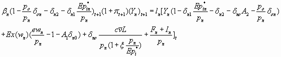
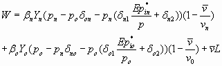
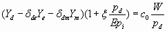
Номинальные доходы населения складываются из заработной платы в секторах ЭОС, ВОС и ЕМ, а также из суммарного объема социальных трансфертов:

                                (37)

где - численность населения, получающего социальные трансферты, - средняя ставка трансферта.

Особенностью модели является описание особенностей экономического поведения предприятий в секторах ЭОС, ВОС и ЕМ. Мотив извлечения максимальной прибыли от производства характерен для современных российских экономических реалий. В частности, для предприятий сектора ЭОС характерен выбор численности занятых исходя из критерия максимизации прибыли производства:

                             (38)

Отсюда с учетом уравнений для агрегированного дохода и производственной функции в секторе ЭОС получим:

              (39)

где - эластичность выпуска по труду в секторе ЭОС.

Аналогично для секторов ВЭС и ЕМ получим:

           (40)

         (41)

Подставив эти зависимости в уравнение для номинальных доходов населения, из уравнения

                               (42)

получим:

                                                               (43)

где коэффициенты явно выражаются через все параметры уравнений (36)-(42) и равны с высокой точностью

                                 (44)

.

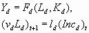
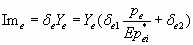
Из уравнений (43)-(44) можно сделать вывод, что рост реального выпуска сектора ЭОС приводит к увеличению выпуска сектора ВОС и, следовательно, к общему экономическому росту в России. Поэтому для изучения факторов, влияющих на экономический рост, необходимо исследовать динамику выпуска экспортно-ориентированного сектора.

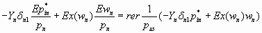
С этой целью воспользуемся уравнениями (3), (4), (13) модели. Поделив обе части (4) на переменную , после алгебраических преобразований получим:

(45)

Обратим внимание, что все переменные, входящие в правую часть уравнения (45), относятся к текущему моменту , тогда как все переменные из левой части (45) относятся к последующему моменту . Экономически их можно трактовать как прогноз и ожидания соответствующих показателей.

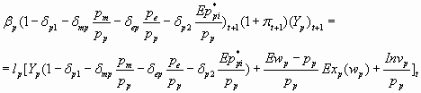
Из уравнения (45) можно сделать следующие выводы о характере влияния важнейших факторов и переменных экономической политики на динамику выпуска в экспортно-ориентированном секторе:

  • Рост мировых и экспортных цен на продукцию сектора ЭОС, т.е. рост фактора ведет возрастанию выпуска ЭОС, т.е. показателя

  • Рост ожидаемой инфляции приводит к сокращению выпуска ЭОС. При этом из уравнения (45) следует, что ожидаемая инфляция нелинейно влияет на реальный выпуск.

  • В правую часть (45) входит показатель , где - уровень цен в “твердой валюте” на продукцию ЭОС. Следует отметить, что предприятия ЭОС фактически ориентируются на цены своей продукции в твердой валюте, сравнивая их с экспортными и мировыми ценами на эту продукцию. Поэтому динамика показателя фактически определяется фактором и фактором . Динамика фактора в России весьма близка к динамике реального обменного курса валюты, в силу того, что инфляция в России намного выше, чем в США и Европе. Поэтому из (45) можно сделать вывод, что укрепление рубля в реальном выражении в текущий момент приводит к падению выпуска сектора ЭОС. Это вполне понятно: текущее реальное укрепление рубля приводит к падению конкурентоспособности российской продукции на внутреннем и внешнем рынке

  • Обратим внимание, что тот же показатель входит и в левую часть (45). Поэтому из (45) мы делаем вывод, что рост ожиданий укрепления рубля в реальном выражении приводит, напротив, к возрастанию выпуска сектора ЭОС. Это также вполне объяснимо: сохраняющиеся ожидания реального укрепления рубля заставляют предпринимателей работать в более жестких условиях конкуренции, т.е. принимать решительные меры по модернизации производства, улучшению менеджмента и др. Все это в конечном итоге приводит к росту выпуска ЭОС. Таким образом, если краткосрочный эффект реального укрепления рубля однозначно негативно отражается на динамике производства, то долгосрочный эффект этого укрепления, скорее, позитивен, т.е. выражается в росте выпуска сектора ЭОС и, как следствие, в общем экономическом подъеме. Другими словами, фирмы, “выжившие” в жестких условиях конкуренции, в долгосрочной перспективе закрепляют свои позиции на рынке и успешно конкурируют с импортом.

  • Заметим, что те же рассуждения применимы к показателю , входящему и в левую и в правую часть (45). Этот показатель получил название “дефлированный уровень цен на продукцию естественных монополий”. Как и выше, мы делаем вывод, что рост показателя в текущий момент времени приводит к падению выпуска сектора ЭОС. Однако сохраняющиеся ожидания опережающего роста цен на продукцию естественных монополий, напротив, ведут к росту выпуска сектора ЭОС и общему экономическому росту. Это также объясняется тем, что сохраняющиеся ожидания опережающего роста цен на продукцию естественных монополий заставляют предпринимателей более эффективно расходовать ресурсы, в частности, внедрять энергосберегающие технологии. В конечном итоге эти меры ведут к росту выпуска сектора ЭОС.

  • Для полноты изложения остановимся на других важнейших факторах, влияющих на динамику производства ЭОС. Из уравнения (45) непосредственно видно, что рост реальных кредитов под инвестиции в основной и оборотный капитал ЭОС приводит к увеличению выпуска ЭОС и общему росту экономики. Снижение уровня налоговой нагрузки на предприятия ЭОС также приводит к возрастанию реального выпуска ЭОС и общему росту экономики.

Остановимся на важнейших структурных особенностях рассмотренной R-модели:

  1. В сложившихся реалиях основной нерв макроэкономических отношений пронизывает взаимодействие экспортно-ориентированного (Э.О.С.) и внутренне-ориентированного сектора (В.О.С.), в отличие от P- и C-модели, в которых существенно взаимодействие сектора нового частного бизнеса и сектора реструктурированных “старых” предприятий.

  2. В R-модели развитие внутренне-ориентированного сектора во многом определяется динамикой сектора Э.О.С. Факторы, определяющие независимое развитие обрабатывающих отраслей и высоких технологий, в R-модели отсутствуют. Общая макроэкономическая динамика сильно зависит от экзогенных факторов внешнеэкономической конъюнктуры: мировых цен на нефть, газ и металлы, динамики мирового спроса на российский экспорт.

  3. В секторе Э.О.С. занято не более 10% всех трудовых ресурсов. Прибавить к этому еще 10% в секторе финансовых и бизнес-услуг, связанных с сектором Э.О.С., - и мы получаем верхний 20% квинтиль наиболее обеспеченного населения России.

    Соответственно, все структурные диспропорции, присущие развитию реального сектора в R-модели, переносятся в социальную сферу, приводя к резкому росту социальной дифференциации по доходам, усилению имущественного неравенства и снижению социальной базы реформ.

  4. Ухудшение качества человеческого капитала, деградация науки и наукоемких отраслей экономики в R-модели также являются следствием базисных структурных диспропорций в реальном секторе. Массированные финансовые вливания в сферу образования в рамках национальных проектов не могут изменить ситуацию по существу.

  5. Основной структурный порок R-модели – это зависимое и депрессивное состояние внутренне-ориентированного сектора (В.О.С.): с одной стороны, ограниченный платежеспособный спрос на его продукцию, растущий лишь при улучшении общей макроэкономической конъюнктуры, а с другой стороны, жесткая конкуренция с потребительским импортом, стремительно растущим вследствие “голландской болезни” и укрепления рубля в реальном выражении.

Преодолеть этот структурный порок R-модели можно лишь путем выравнивания условий конкуренции для секторов Э.О.С. и В.О.С. на внутреннем и внешнем рынке. Именно в этом ключе следует рассматривать последние инициативы российской власти по стимулированию развития обрабатывающих отраслей и диверсификации российского экспорта. Далее мы рассмотрим эту зарождающуюся новую структуру российской экономики и проанализируем ее перспективы и преимущества в контексте рассмотренных выше P- , C- и R-модели.

Основной элемент структурной новизны в этой модели – это взаимодействие секторов “Добыча” и “Обработка”, производящих товары и услуги как для российского, так и для внешнего рынка. Именно вследствие этого происходит разблокирование депрессивного состояния сектора В.О.С. в R-модели.

Следует отметить, однако, что выход на мировые рынки высокотехнологичной продукции для российских компаний в секторе “Обработка” сильно затруднен вследствие технологической отсталости, накопившейся за 1990-2000-е годы. Российский бизнес, ориентированный на краткосрочный мотив извлечения прибыли, не может ликвидировать этот технологический разрыв. Поэтому ведущая роль в ликвидации научного и технологического отставания в секторе высоких технологий и наукоемких производств должна принадлежать государству. Основная цель создания госкорпораций в “прорывных” отраслях сектора “Отработка” - это создание новых правил игры для экономических субъектов, в которых учитываются долгосрочные перспективы экономического развития. Государство перераспределяет сверхдоходы от благоприятной внешнеэкономической конъюнктуры для целей опережающего развития наукоемких и высокотехнологичных отраслей, осуществляя масштабные инвестиции в основной капитал сектора “Обработка”.

N-модель

Рассмотрим исходные уравнения N-модели, сохранив принципы модельного описания, принятые выше для P-, C- и R-модели.

Сектор “Добыча” (e –extraction)

Принцип макроэкономического описания сектора “Добыча” аналогичен использованному выше для P-,C- и R-модели: вначале мы рассматриваем декомпозицию реального выпуска на экспортные поставки, реальный выпуск для сектора естественных монополий и сектора “Обработка”:

,

далее записывается уравнение для производственной функции

.

После этого записывается уравнение для агрегированного дохода в секторе “Добыча”: этот доход складывается, соответственно, из доходов от экспорта, доходов от поставок продукции для сектора естественных монополий и сектора “Обработка” за вычетом затрат на закупки продукции сектора естественных монополий и сектора “Обработка”, затрат на импортные поставки, плюс суммарный объем инвестиций в сектор “Добыча”:

.

Реальный объем импорта в сектор “Добыча” зависит от факторов реального выпуска и реального обменного курса:

.

Дале записывается уравнение для суммарного объема заработной платы в секторе “Добыча”:

.

Сектор “Обработка” (p – processing)

Аналогичные зависимости записываются для сектора “Обработка”:

Помимо секторов “Добыча” и “Обработка”, в модели присутствуют сектор “Естественные монополии” (индекс “m”) и сектор “Услуги” (индекс “s”), включающий торговлю, финансовые услуги, ЖКХ. Макроэкономическое описание этих секторов аналогично приведенному выше для секторов “Добыча” и “Обработка”.

Экономическое поведение предприятий в секторе “Добыча” ориентировано на максимизацию прибыли производства, которую представим следующим образом:

откуда после преобразований получим:

Аналогично для сектора “Обработка”:

.

Поставив эти зависимости в уравнения для заработной платы в секторах “Добыча” и “Обработка”, после преобразований получим следующие зависимости:

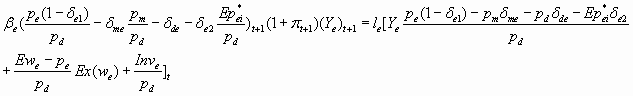
-уравнение динамики реального выпуска в секторе “Добыча”:

- уравнение динамики реального выпуска в секторе “Обработка”:

Хотя полученные уравнения выглядят несколько громоздкими, они включают в себя все значимые макроэкономические факторы, обусловливающие радикальное отличие N-модели, формирующейся сегодня в России, от традиционной R-модели:

  1. Резкое усиление роли государства в экономике, связанной с масштабными инвестициями в сектора “Добыча” и “Обработка”. По некоторым оценкам, доля госсектора в ВВП в 2007 г. составит не менее 50%.

  2. За счет инвестиционных программ крупных государственных корпораций происходит резкий рост конкурентоспособности продукции в основных отраслях сектора “Обработка” (прежде всего, авиакосмический и оборонно-промышленный комплекс, но также энергетическое и транспортное машиностроение), что расширяет возможности экспорта продукции этих отраслей на мировые рынки и снимает проблему зависимости темпов экономического роста от конъюнктуры цен на сырье.

  3. Перспективы создания инновационной экономики на основе “торговли знаниями” в модели N выглядят довольно скромными, поскольку основные финансовые ресурсы сосредотачиваются на сырьевых и инфраструктурных проектах. Финансирование науки осуществляется по “остаточному” принципу.

Выводы

В этой работе были рассмотрены основные модели экономических реформ в посткоммунистических странах: P-модель, характерная для переходных экономик Центральной и Восточной Европы, C-модель, описывающая градуальные реформы в Китае, R-модель с прототипом российских реформ 1992-2007 годов, и N-модель, только формирующаяся сегодня в России. Основной вывод из проведенного анализа прост: каждая из этих моделей ассоциируется с определенным набором социальных ценностей, присущих европейской, китайской и российской культуре. Для P-модели характерна идея интеграции в общеевропейское экономическое пространство с приоритетом ценностей свободы и демократии. В экономическом контексте эта идея трансформируется в вектор развития, связанный с постепенным встраиванием в общеевропейский рынок через реструктуризацию бывших социалистических предприятий и создание новых частных фирм. Для C-модели характерная идея непрерывности и преемственности социально-экономического развития с опорой на традиционные ценности: идеи двухуровневой системы цен, постепенного “вырастания из основ”, приоритета китайской экономики и культуры – диктуют специфические особенности этой модели, радикально отличающие ее от P-модели. Для R- и N-модели характерна идея “разрыва”, резкого слома исторических трендов, сложившихся социально-экономических тенденций. Россия – в постоянном поиске “национальной идеи”, но правда заключается в том, что в роли этой идеи обычно выступает “Великий разрыв”. В 1992 году идея “разрыва” реализовалась в либеральной экономической модели, пришедшей на смену социалистическому хозяйству. В 2007 году наступил новый “радикальный перелом”, связанный с огосударствлением экономики, и реализацией глобальной “евразийской миссии” России. Что принесет России этот новый “разрыв” - покажет время.

 

 

 

назад

                                                                       

                  

 
 

Контакты:

ЦЭМИ РАН 117418, Москва, Нахимовский проспект, 47, комната 1110