Центр ситуационного анализа и прогнозирования ЦЭМИ РАН

Decision Support and Forecasting Center CEMI RAS

 

 

 

 

 

Круглый стол: "Реальный обменный курс рубля и макроэкономическая российская динамика"
 


С. А. Айвазян:

Уважаемые коллеги. Примерно два месяца назад, когда мы планировали программу семинара одной из тем, заявленных на семинар, была "Влияние реального обменного курса рубля на экономику России. Результаты эконометрического анализа". С тех пор эта тема становилась все более горячей, а в последние несколько дней является одним из основных предметов обсуждения в экономическом сообществе. Мы постарались расширить эту тему, выйдя за пределы сугубо эконометрического анализа. В результате возникла идея круглого стола, на котором запланировано несколько выступлений. В дискуссии могут участвовать все желающие.

Хочу предоставить слово Виктору Мееровичу Полтеровичу, который любезно согласился поделиться своими соображениями на эту тему.

В. М. Полтерович:

Спасибо. Дело в том, что мы с В.В. Поповым уже несколько лет занимаемся этой темой и она действительно очень горячая. Я хочу сказать всего несколько слов. Я не готовил обширного выступления. Несколько слов о том, к чему мы пришли. Результаты наших исследований, по крайней мере, частично опубликованы в журнале «Вопросы экономики». В 7 и 8 номерах есть статьи, где рассмотрены, среди прочих, проблемы экономической политики, связанные с валютным курсом. Кроме того, на сайтах можно найти публикации, где содержится, разработанная нами, модель. Тема эта чрезвычайно живая и актуальная и имеет свою историю.

Итак, что такое реальный валютный курс? Под реальным валютным курсом понимают 2 величины, два определения. Одно из них чисто статистическое. Мы принимаем определенный год за базовый и приводим значение номинального валютного курса к данному году, тем самым исключая инфляцию. Данная величина и представляет реальный валютный курс. Теоретическое определение реального валютного курса - это отношение цен торгуемых и не торгуемых товаров. Эти два определения связаны монотонной зависимостью и поэтому их можно считать эквивалентными.

Реальный валютный курс в обычных, стандартных макроэкономических моделях определяется как равновесная переменная, которая устанавливается в равновесие при всех остальных заданных величинах. И поэтому в учебниках обычно пишут, что оказывать долгосрочное влияние на реальный валютный курс нельзя. Это действительно так в условиях сбалансированности экономики. Реальный валютный курс можно изменить в краткосрочном периоде, но в долгосрочном он определяется исходя из условий равновесия притом, что на него влияет очень много разных факторов (и условия торговли, и таможенная политика, и налоговая политика, и т.д.). Так что в этом смысле непосредственному управлению реальный валютный курс не поддаётся. Но мы отойдём от стандартного определения равновесия и рассмотрим ситуацию, когда у нас даже на стационарной траектории экспорт может быть больше импорта вследствие накопления валютных резервов, например. Вот такая модель и была нами разработана. С одной стороны, это модель равновесия в том смысле, что в ней всё сбалансировано, кроме экспорта и импорта (экспорт больше импорта), и идёт накопление золотовалютных резервов с постоянной скоростью. В такой модели можно менять скорость накопления золотовалютных резервов, можно эффективно менять реальный валютный курс. Но спрашивается: «К чему бы это? Зачем вообще на него влиять?».  Мы знаем, что, при прочих равных, конкурентное равновесие лучше, чем неравновесное состояние. Поэтому, на первый взгляд, кажется, что ничего добиться таким  влиянием на долгосрочное значение реального валютного курса нельзя. Можно только ухудшить ситуацию накопления золотовалютных резервов. Накопление резервов означает, что часть того, что мы производим, просто выбрасывается, если это накопление происходит бесконечно, и мы никогда не используем эти накопленные резервы. Мы просто производим продукцию, продаём её на экспорт, и частично это превышение экспорта над импортом просто никуда не деваем, просто выбрасываем. Спрашивается: «Зачем это надо?». Эмпирические данные свидетельствуют вот о чём. Очень многие быстро развивающиеся экономики на определённом этапе своего развития действительно быстро накапливали резервы. Это относится, в частности, к нынешнему Китаю. Япония имеет очень большой уровень золотовалютных резервов, но накапливает их не слишком быстро, а на самом деле для нашего обсуждения важна именно скорость накопления, а не абсолютный уровень. Абсолютный уровень конечно тоже играет определенную роль, но это уже другой вопрос. Важна скорость накопления. Но если посмотреть на прошлое Японии, Кореи, то в определённые периоды, на определённых этапах быстрого развития, они действительно накапливали золотовалютные резервы.  С другой стороны, развитые страны не накапливают резервов. Таковы факты.

Резервы в действительности играют несколько ролей, выполняют несколько функций. Нужно иметь определённый уровень резервов, для того чтобы реагировать на шоки и поддерживать определённый баланс в экономике. Обычно считается, что уровень золотовалютных резервов должен составлять от 3-х до 6-ти месяцев импорта. Накопление само по себе при стандартном подходе особого смысла не имеет. Но наше объяснение того, почему всё-таки быстро развивающиеся страны на определённом этапе своего развития накапливают золотовалютные резервы, а развитые страны этого не делают, состоит в следующем. Мы полагаем, что на определенных этапах развития имеется внешний эффект (экстерналия) от развития экспорта, который действует на всю экономику в целом. Что это означает? Все страны проходят определённые стадии развития. На некоторой стадии страна, которая хочет быстро развиваться и хочет догнать развитые страны, ведёт политику импортозамещения. Тогда ей не нужно накапливать резервы, это достигается за счёт других инструментов. Дальше начинается стадия стимулирования экспорта. Зачем стимулировать экспорт? Потому что, тогда в относительно слабо развитой стране фирмы выходят на внешний рынок, они много чему обучаются, исследуют новые технологии, исследуют технологии маркетинга, приобретают определённые связи. Всё это новое знание, обретаемое в результате выхода на внешний рынок, передаётся внутрь экономики и воздействует на уровень развития внутреннего производства. Эта экстерналия, как и другие экстерналии рынка непосредственно не учитывается, в ценах она никак не отражается, но,  судя по всему, она есть. Конечно, нужны специальные эмпирические исследования, чтобы выяснить, в какой мере она существует, насколько сильна эта экстерналия. Наша гипотеза состоит в том, что эта экстерналия существует. Эта экстерналия по описанию, которое я дал, может быть характерна для развивающихся стран, но естественно не имеет места для стран развитых, потому что там нет резкого различия между знаниями и технологиями внутри страны и тем, что фирма может получить на внешнем рынке. Так что эта экстерналия для развитых стран просто не существенна. Так вот, если такая экстерналия имеет место, и если она достаточно сильна, то может оказаться, что ее положительное воздействие на экономический рост перевешивает отрицательное воздействие, связанное с накоплением резервов. Есть как бы две силы, когда просто накапливаем резервы и ничего с ними не делаем. С одной стороны, мы просто изымаем часть ресурсов из экономики, и в этом смысле рост должен был бы замедляться. Но если мы при этом стимулируем развитие экспорта, и имеет место достаточно сильная экстерналия, то может оказаться, при некоторых условиях, что вот это позитивное действие доминирует. Таким образом, рост ускоряется, и притом не только рост становится быстрее, но и уровень ВВП на душу становится больше. Это один из механизмов воздействия долгосрочного накопления резервов через реальный валютный курс на экономический рост, через занижение реального валютного курса.

Другой канал воздействия довольно сильно отличается от первого. Именно быстрое накопление золотовалютных резервов может способствовать привлечению капитала. Когда страна накапливает резервы - её рейтинг повышается. Внешние инвесторы видят - страна в хорошем состоянии, экономика быстро развивается, начинается приток капитала. Не исключено, что этот прирост капитала превзойдёт отток, связанный с накоплением резервов. Надо сказать, что мы близки к такому состоянию сейчас. У нас сейчас быстро притекает капитал. И если это так, то может оказаться, что экономика на таких резервах выиграет. Только при этом, если в первом случае реальный валютный курс у нас занижался, во втором случае оказывается, что он завышается, и тем не менее экономика выигрывает.

Влияние реального валютного курса не однозначно. И в обычных линейных регрессиях, когда пытаются определить влияние валютного курса, чаще всего это влияние оказывается незначимым, иногда слабо-отрицательным. Вот мы пытались проверить нашу первую гипотезу. На довольно обширном материале построили ряд регрессионных нелинейных зависимостей. И действительно в целом она подтверждается, хотя к каждой такой регрессии можно предъявить ряд претензий. Возникают сложные проблемы эндогенности, не всегда можно найти подходящие инструментальные переменные. Те расчёты, которые мы проводили, убедили нас, по крайней мере, в том, что действительно существует порог по уровню ВВП и по инструментальным переменным такой, что для стран с низким ВВП на душу накапливать резервы целесообразно, это ускоряет рост. А для стран достаточно развитых, выше определённого порога, накопление резервов, наоборот, приводит к замедлению роста. Но по этим расчётам относительно России сказать ничего нельзя. Та база данных, которую мы использовали, России не содержит.

Теперь есть ещё одна проблема, которой мы непосредственно не касались - проблема занижения реального валютного курса, накопления резервов и инфляции. В нашей модели используется сепарабельная функция полезности. Благодаря сепарабельности, оказывается, что реальный и финансовый сектор экономики как бы разделены в достаточной степени. Так что реальный эффект не связан с эффектом инфляции. Инфляция не оказывает отрицательного действия. Но на самом деле может и оказать, и возникает вопрос: «В какой мере нам нужно бояться инфляции?». Это совершенно отдельная тема, есть довольно много работ, появившихся в самое последнее время, в которых пытаются исследовать влияние инфляции на экономический рост. Ну и опять же, мнения достаточно противоречивы. В одной статье один вывод, в другой - иной. Свое впечатление от целого ряда таких статей я выразил в соответствующем обзоре. Во 2-ом номере «Экономической науки современной России» есть обзор, посвящённый как раз влиянию инфляции на экономический рост. Так вот, моё ощущение такое, что опять-таки влияние инфляции может быть положительным, нейтральным или отрицательным в зависимости от уровня развития страны. В нескольких работах уже отмечалось, что если страна высоко развита, то оптимальный уровень инфляции для неё 2-3%, ниже не надо и может быть даже вредно и выше тоже вредно. Где-то в пределах 2-4%. Если же страна не слишком развита, то здесь разные оценки есть (по мне, 10-15% является вполне безобидным уровнем для не очень развитой страны типа России), т.е. те усилия, которые нужно предпринять для того, чтобы специально снизить инфляцию с 10% на более низкий уровень, они, на мой взгляд, потребуют таких мер, которые в действительности могут снизить экономический рост, а не ускорить его. По мере того, как экономика будет совершенствоваться, этот уровень будет снижаться при нормальном ответственном управлении. В каком-то смысле будет снижаться сам собой. В этом смысле так уж бояться того, что, накапливая резервы, мы не даём возможность инфляции снизиться, на мой взгляд, нет необходимости.

Но теперь, если переходить к российской экономике, у нас ситуация принципиально отлична от Китая, который быстро накапливает резервы. Инфляция абсолютно не увеличивается, она маленькая. Однозначные цифры в Китае уже в течение многих лет, и скорость, как вы знаете, 9-10% в год годовых ВВП в течение 25 и более лет. Вот у нас ситуация другая, потому что, занижая свой реальный валютный курс, Китай стимулирует экспорт обрабатывающей промышленности. Вся Европа и Америка отоварены мануфактурой, которая производится в Китае. У нас же основная статья экспорта - это сырьё, и нужно ли нам стимулировать этот экспорт - это большой вопрос. Значит, занижая реальный валютный курс (стараясь занизить его, т.к. нам это не удается из-за того, что мы стараемся подавить инфляцию, а валютный курс растет), но всё-таки он занижен. Занижен по покупательной способности, он в 2 раза примерно занижен. Ну немножко сейчас поменьше 1,8, примерно. Так вот, занижая реальный валютный курс, мы препятствуем нашествию импорта, что лишь отчасти оправдано, потому что в импорте всё большую роль начинает играть машинное оборудование, которое мы сами произвести не можем, и оно просто необходимо для поддержания экономического роста. Вот относительно России политика занижения реального валютного курса вызывает определённые сомнения, и, тем не менее, я считаю, что в некоторой степени она оправдана при одном «если». А именно, если всё-таки мы будем проводить активную промышленную политику, и добиваться того, чтобы у нас на внешний рынок вышли отрасли обрабатывающей промышленности. Ситуация такая: если мы позволим реальному валютному курсу сильно увеличиться, потом снижать его будет довольно трудно. Это означает, что мы ставим такой барьер перед развитием экспорта обрабатывающей промышленности, который трудно будет преодолеть. Если мы всё-таки намерены проводить активную промышленную политику, поощряя экспорт обрабатывающей промышленности, проводя ту самую диверсификацию, о которой так много сказано, эта политика оправдана. В противном случае мне кажется, что она весьма сомнительна. Но вот, пожалуй, всё, что я хотел сказать.

Вопрос.

Ответ.

Я полагаю, что экспортные экстерналии не проявляются. Но, возможно, экстерналии другого рода (например, связанные с импортом). Здесь даже более простой механизм, нежели экспортных экстерналий. Просто при завышении курса мы (когда курс увеличивается) облегчаем доступ на рынок импортных товаров, и, в принципе, если в импорте превалируют товары высокой степени обработки, это может печально сказаться на развитии отраслей. Мы были свидетелями этого в 1992-1994 годах, когда конкуренция импорта сократила у нас выпуск в легкой промышленности до 10% дореформенного уровня (даже меньше), что конечно в высшей степени не желательно. Несмотря на видимое отсутствие экспортной экстерналии довольно опасно повышать реальный валютный курс, потому что тем самым мы ставим барьер перед развитием экспортно-ориентированных  обрабатывающих отраслей, который потом будет довольно трудно преодолеть.

С. А. Айвазян:

Спасибо Виктор Меерович. Сейчас предоставляем слово Борису Ефимовичу Бродскому. Тема: «Влияние реального обменного курса рубля на российскую экономику.»

Б. Е. Бродский:

Добрый день, уважаемые коллеги. Моё выступление будет перекликаться с предыдущим. Действительно, если мы рассматриваем проблему влияния реального обменного курса на экономику той или иной страны, то надо принимать во внимание массу макроэкономических факторов, которые зачастую воздействуют в противоположную сторону, и должны принимать во внимание разный временной диапазон. Одни факторы больше оказывают влияние на краткосрочный период прогнозирования, а другие, наоборот, в долгосрочной перспективе. И надо сказать, что этой проблеме посвящена масса работ. Вот краткий обзор зарубежных публикаций последних лет. Большую известность получила работа Calvo, Reinhart, которые провели серьёзный эмпирический анализ влияния реального обменного курса рубля на различные экономики, и пришли к выводу, что эта политика поддержания слабого курса национальной валюты не дает долгосрочного положительного макроэкономического эффекта для слабо развитых стран. Для обеспечения долгосрочных перспектив экономического роста необходимо поддерживать некоторые ожидания укрепления курса национальной валюты. Помимо работы Кальво и Рейнхарта, известна статья Frenkel, который рассматривал эффект валютных кризисов в развивающихся странах на экономическое развитие. Он пришел к парадоксальному выводу, что валютный кризис, подобный российскому кризису 1998 года, вовсе не приводит к оживлению в экономике (как было в России), а наоборот во многих странах приводит к экономическому спаду. Профессор Харбергер нам изложил свою точку зрения в выступлении в ГУ-ВШЭ в 1994 году, он тоже исследовал эту проблему, но с точки зрения влияния монетарных факторов на динамику валютного курса. В последний год вышло несколько работ, в частности работа Бланк, Гурвича и Улюкаева в «Вопросах экономики», которые изложили результаты своего обширного модельного и эмпирического исследования влияния обменного курса на конкурентоспособность отраслей российской экономики. Их выводы были, однозначно, за укрепление рубля в реальном выражении. Известно, что российский Минфин пользуется этими рекомендациями. Министр финансов Кудрин выступал до самого последнего времени за укрепление рубля в реальном выражении. Эта позиция Минфина натолкнулась на противодействие российского бизнеса, и буквально несколько месяцев назад представители крупных российских компаний на встрече с президентом В. В. Путиным сказали, что такое быстрое укрепление рубля может привести к негативным последствиям, к торможению экономического роста. В последнее время мы наблюдаем массированную компанию в СМИ, направленную на реализацию тезиса, воспрепятствования быстрому укреплению рубля в реальном выражении. Такое обилие точек зрения затрудняет сколько-нибудь точный экономический анализ. На мой взгляд, можно долго рассуждать, какие экстерналии могут воздействовать, а какие нет, и это все - в русле российской экономической ментальности. Необходимо прибегнуть к точным эконометрическим расчетам, к точным методам моделирования. Попытка была предпринята нами, результаты исследований мы хотим представить в этом докладе, который не претендует на истину в последней инстанции.

Скорее всего, это просто точка зрения, которая может быть подвергнута критике.

При моделировании, мы придерживаемся следующих принципов: во-первых, при построении макроэкономической модели использовано дезагрегирование реального сектора российской экономики на экспортно-ориентированный сектор (это те фирмы, который частично производят продукцию на экспорт, частично на российский рынок); дальше, импортозамещающий или внутренне ориентированный сектор (отрасли, которые работают исключительно на российский рынок), и наконец, сектор естественных монополий в России. Естественные монополии - это те отрасли, которые обеспечивают жизнедеятельность всей российской экономики и поставляют продукцию как для экспортно-ориентированного, так и для импортозамещающего сектора.

Следующий тезис: эконометрическую спецификацию мы старались базировать на аналитической модели, на экономической теории. Как результат, мы вышли на систему одновременных эконометрических уравнений. В эконометрической части работает методология коинтеграционного анализа. Здесь использована двухстадийная процедура Энгеля-Грейнджера. На первой стадии мы моделируем долгосрочные тренды развития российской экономики. Цены на нефть, инвестиционные параметры, налоговая нагрузка на реальный сектор – вот такие факторы определяют эти долгосрочные тренды. После построения долгосрочной коинтеграции, переходим к построению модели коррекции ошибок. Здесь влияние реального обменного курса проявляется в полной мере. На этом слайде кратко перечислено, какие отрасли входят в тот или иной сектор, и какие основные факторы влияют на динамику финансового положения предприятий в этих секторах. В частности в экспортно-ориентированный сектор мы включаем нефтедобычу, нефтепереработку, в этой модели включается еще газовая отрасль, дальше, черная и цветная металлургия, химия, лесной комплекс. Это основные отрасли, которые производят экспортную продукцию. Импортозамещающий сектор включает такие важные отрасли, как машиностроение (на сегодняшний день это 60-80% российских компаний), металлообработка, промышленные стройматериалы, легкая, пищевая отрасли, сельское хозяйство. К естественным монополиям мы относим электроэнергетику, грузовой и железнодорожный транспорт. Таким образом, структура модели имеет вид треугольника. Задача модели: проследить производственные и финансовые взаимосвязи между этими секторами, а также между сектором домохозяйств, сектором российского бюджета, кредитно-денежной сферы. Вот эти важнейшие сектора мы в этой модели отслеживаем.

Каковы принципы построения модели? Я уже сказал, что это макроструктурный анализ взаимосвязей между основными секторами экономики, это принцип максимизации прибыли компаний, которые работают в каждом секторе и, наконец, учет влияния ожиданий на экономическую динамику.

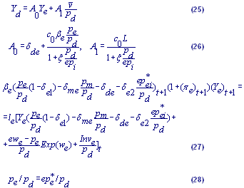
Рассмотрим уравнения аналитической модели экспортно-ориентированного сектора. В первом уравнении утверждается, что реальный выпуск складывается из объема экспорта, зависящего от динамики мировых (и экспортных) цен, а также из реального выпуска, поступающего на внутренний российский рынок.

Также мы предполагаем, что существует некоторая производственная функция, зависящая от ресурсов труда и капитала.

Показатель, который играет центральную роль в этой модели, - это так называемый агрегированный доход, т.е. суммарные доходы от экспортных поставок и от поставок на внутренний рынок за вычетом затрат на поставки ресурсов от российских контрагентов и импорт сырья и комплектующих. На реальный импорт оказывает влияние реальный обменный курс. Реальный обменный курс рубля входит в пятое уравнение.

При моделировании динамики заработной платы, мы учитываем то, что для российских компаний характерно принятие решений о выплате заработной платы в следующий период при получении агрегированного дохода в текущий период (уравнение (6)).

Аналогично описаны другие секторы экономики. Как моделируется сектор домохозяйств? Здесь уравнение (15) не что иное, как кейнсианская функция потребления, т.е. мы считаем, что агрегированные потребительские расходы зависят от агрегированных доходов. Коэффициент - это предельная склонность к потреблению.

С другой стороны, в уравнении (16) утверждается, что потребительские расходы распадаются на расходы по приобретению российских товаров и потребительский импорт.

 


 

Следующий принцип – максимизация прибыли в каждом секторе. В уравнении (19) этот принцип явно эксплицирован. Мы выписываем эту прибыль в экспортно-ориентированном секторе. Компании, работающие в экспортно-ориентированном секторе, при выборе объема ресурсов труда руководствуются критерием максимизации прибыли, и тогда из этого критерия мы получаем уравнение (20), которое связывает суммарную заработную плату с объемом выпуска экспортно-ориентированного сектора.

 


 

Аналогичные рассуждения справедливы для других секторов экономики, и это нам дает в финале уравнение (25), которое связывает реальный объем выпуска внутренне-ориентированного сектора с выпуском экспортно-ориентированного сектора с реальной средней ставкой социального трансферта.

После всех алгебраических преобразований мы приходим к основному уравнению (27), которое описывает динамику выпуска экспортно-ориентированного сектора.

Анализ факторов, которые входят в это уравнение, позволяет нам выявить все необходимые черты спецификации эконометрической модели. Мы видим, что на динамику реального выпуска экспортно-ориентированного сектора (27) оказывают влияние мировые цены на продукцию экспортно-ориентированного сектора, в частности мировые цены на нефть, инвестиции в основной капитал, налоговые факторы и - центральный момент этого выступления – реальный обменный курс. Как влияет реальный обменный курс на экономический рост? С одной стороны, мы видим, что укрепление рубля в текущий момент ухудшает текущую конкурентоспособность российской продукции, т.е. тормозит экономическое развитие, мы это фиксируем. Однако фактор импорта комплектующих действует в обратном направлении. Укрепление рубля может для некоторых отраслей положительно сказаться на экономическом развитии, в силу того, что больше импорт комплектующих и этот импорт ускоряет экономический рост.

Величины, которые входят в левую часть уравнения (27) являются ожиданиями и прогнозом соответствующих показателей. Ожидания укрепления реального курса рубля могут положительно сказываться на экономическом росте. Это и есть - в терминах Виктора Мееровича – определенная экстерналия, т.е. если поддерживаются ожидания укрепления рубля, то это означает, что российские предприятия будут строить свою промышленную политику исходя из условий жесткой конкуренции с импортом. И они будут вынуждены принимать серьезные решения в части менеджмента, улучшения условий производства, т.е. идти на серьезные шаги. И как результат, эти ожидания укрепления курса рубля повлекут за собой в долгосрочной перспективе экономический рост.

Мы видим, что эта модель позволяет выявить несколько каналов и механизмов воздействия реального обменного курса на экономический рост, которые действуют в противоположных направлениях. После того, как мы выявили эти основные макроэкономические механизмы, переходим к эконометрической модели.

На этом слайде представлены основные переменные модели. На первом этапе мы строим долгосрочную коинтеграционную зависимость, которая включает в себя фундаментальные факторы, которые влияют на экономическую динамику в России. Это цены на нефть, дефлированные тарифы естественных монополий (в частности дефлированные тарифы на электроэнергию для конечного потребителя), инвестиции в основной капитал, налоговые факторы. В результате, коинтеграционная модель позволяет нам оценить долгосрочные эластичности по отношению к этим факторам. После этого (когда мы построили долгосрочную коинтеграцию) строится модель коррекции ошибок (EMC – error correction model). Она отражает краткосрочные и среднесрочные тенденции с учетом фактора реального обменного курса. Из эконометрической модели мы видим, что в краткосрочной перспективе укрепление рубля в реальном выражении оказывает негативное влияние на ВВП: эластичность ВВП по фактору реального эффективного обменного курса рубля равна минус 0,08. Эта слабая отрицательная эластичность обусловлена тем, что различные компоненты ВВП по-разному реагируют на реальный обменный курс. Рассмотрим такую важную составляющую агрегированного выпуска как промышленное производство. На этом слайде представлена коинтеграционная модель для этого показателя: выявлена существенная отрицательная эластичность индекса промышленного производства по фактору реального обменного курса рубля. Если взять реальный обменный курс рубля к доллару, то эта эластичность равна -0,126. Далее мы проанализировали, как влияет укрепление рубля на промышленное производство, на сельскохозяйственное, на индекс оборота розничной торговли. Эластичность индекса оборота розничной торговли по фактору реального обменного курса рубля равна +0.218.

Наконец, укрепление рубля очень сильно влияет на рост импорта. Эластичность показателя импорта товаров и услуг по фактору реального эффективного обменного курса рубля равна +1,649.

Далее мы проанализировали, как влияет динамика реального обменного курса на индексы производства в отраслях российской промышленности. На этих слайдах приведена коинтеграционная модель для индексов физического объема в машиностроении и пищевой отрасли. На индекс реального объема производства в машиностроении укрепление рубля оказывает серьезный негативный эффект: эластичность по фактору реального обменного курса рубля к доллару составляет -0,222 –это довольно существенная отрицательная эластичность. Для пищевой отрасли, наоборот, обнаружено положительное влияние укрепления рубля: эластичность по фактору реального обменного курса рубля к доллару составляет +0,166. Таким образом, мы исследовали влияние укрепления рубля на динамику производства в различных отраслях российской промышленности. Общий вывод, который мы делаем, состоит в том, что чем ближе продукция отрасли к конечному потреблению, тем больше заметно положительное влияние укрепления рубля на динамику производства в этой отрасли. Чем дальше от конечного потребления (в частности в машиностроении), тем более проявляется отрицательное влияние укрепления рубля на динамику производства. Спасибо за внимание.

Вопрос.

Вы употребили термины краткосрочный и долгосрочный интервал прогнозирования. Какими определениями этих понятий Вы пользуетесь?

Ответ.

По долгосрочной перспективе мы принимаем стандартное определение. У нас есть краткосрочный интервал - это примерно год, среднесрочный - это 2-3 года, и все, что за этим интервалом, относится к долгосрочной перспективе.

Вопрос.

Какими определениями реального обменного курса рубля Вы пользовались?

Ответ.

Существуют различные определения реального обменного курса рубля, и наиболее всеобъемлющее и корректное – это реальный эффективный курс рубля по отношению к 24 валютам. Мы используем этот показатель, в частности, в уравнении для динамики ВВП. Кроме того, используются также другие определения: реальный обменный курс рубля по отношению к доллару, по отношению к евро. Эти определения лучше работают при исследовании конкретных отраслей экономики.

Вопрос.

Правильно ли я понял, что повышение реального обменного курса отрицательно влияет на машиностроение, это означает, что у нас машиностроение, в целом, «правильно» устроено. Если машиностроение «отверточное», тогда сборка автомобилей выгодна, приходится всей стране собирать дешевой рабочей силой и получать те продукты, которые в рублях.

Ответ.

Да, действительно вы правы. Действительно, в перспективе эти производства в России, по-видимому, будут «отверточными», когда западные брэнды в автомобилестроении придут со своими технологиями. В компьютерном производстве сейчас есть понятие «красной сборки», так и в российском машиностроении многие модели будут производиться по «отверточному» принципу.

Вопрос.

Где опубликована Ваша модель?

Ответ.

Есть публикация по макроэкономической модели российской экономики в журнале «Прикладная эконометрика» №2, 2006 г. По применению этой модели к реальному обменному курсу подготовлена еще одна публикация, которая появится в четвертом номере («Прикладная эконометрика», 2006).

 

 

 

на главную

 

 
 

Контакты:

ЦЭМИ РАН 117418, Москва, Нахимовский проспект, 47, комната 1110