Центр ситуационного анализа и прогнозирования ЦЭМИ РАН

Decision Support and Forecasting Center CEMI RAS

 

 

 

 

Аналитика

 

Анализ эффективности либерализации рынков нефтяного попутного газа в России
 

С.Я.Чернавский, О.А.Эйсмонт

 

по результатам исследования, выполненного в соответствии с контрактом между ЦЭМИ РАН и Министерством экономического развития и торговли России

 

Введение.

При добыче нефти из скважины поступает так называемая скважинная жидкость, содержащая нефть, нефтяной попутный газ (НПГ), а также другие жидкие (вода) и газообразные (азот, углекислый газ, реже гелий, иногда сероводород) компоненты. Основная ценность НПГ обусловлена наличием в нем метана и высших углеводородов (этана, пропана, бутана, изобутана, пентана, изопентана, гексана и т.д.). Метан является основой природного газа, а высшие углеводороды - ценное химическое сырье для производства мономеров, полимеров и других материалов, используемых в нефтехимической и химической промышленности. Кроме того, смесь пропана и бутана широко используется в России для бытовых нужд домашних хозяйств, поэтому выделяющийся из скважинной жидкости НПГ собирают, компримируют и направляют на переработку. Объемы производства НПГ в России после 1995 г. представлены в табл. 1.

Таблица 1. Добыча нефти и производство НПГ в России в 1995-2003 гг.

  1995 1996 1997 1998 1999 2000 2001 2002 2003
Добыча нефти, млн.т 298 293 297 294 295 313 337 367 408
Производство НПГ в России, млрд. куб. м 25 26 27 27 28 29,4 30,6 31,5 39,0
Удельное производство НПГ, куб. м/т. нефти 83,9 88,7 90,9 91,8 96,2 93,9 90,8 85,8 95,6

Источник: Госкомстат России. Российский статистический ежегодник. 2004
 

Для переработки НПГ в районах нефтедобычи строят газоперерабатывающие заводы (ГПЗ), на которых НПГ разделяют на компоненты.

 В результате разделения НПГ на компоненты получают:

- сухой отбензиненный газ (СОГ), состоящий, в основном, из метана и используемый как топливо;

- стабильный газовый бензин (СГБ), состоящий из тех высших углеводородов, которые при нормальных давлениях и температурах существуют в форме жидкости и которые по своим физико-химическим свойствам аналогичны бензину;

- отдельные высшие углеводороды (пропан, бутан, изобутан, пентан, изопентан и гексан) или наборы их смесей1, которые могут быть проданы на рынках сжиженных углеводородов (СУГ).

  В соответствии с существующими в России в настоящее время нормативами, часть произведенного НПГ (но не более 5%) разрешается сжигать в факеле. За превышение этих нормативов, не связанное с форс-мажорными обстоятельствами (например, невозможностью перерабатывать НПГ), нефтяная компания платит штраф, размер которого относительно невелик. Сжигание значительных объемов НПГ в факеле в отсутствие форс-мажорных обстоятельств сопряжено с риском потери нефтяной компанией лицензии на добычу нефти.

За рубежом производством и переработкой НПГ занимаются нефтяные компании, поэтому там рынок НПГ отсутствует (True, 2000, 2003; Fasullo, 2003; Брагинский, 2004).

До 1992 г. не было рынка НПГ и в России: все предприятия нефтяной и нефтехимической промышленности принадлежали одному собственнику - государству, оно же и управляло этими предприятиями. После приватизации в ряде нефтедобывающих районов, например в Башкортостане, Татарстане, Оренбургской области, ранее построенные там ГПЗ остались в составе вертикально интегрированных нефтяных компаний. Однако в самом крупном нефтедобывающем регионе России - Западной Сибири, где до приватизации для переработки добываемого НПГ было построено 8 крупных ГПЗ, 6 из которых: Белозерный (БГПЗ), Губкинский (ГГПЗ), Муравленковский (МГПЗ), Нижневартовский (НВГПЗ), Няганский (Красноленинский - КрГПЗ), Южно-Балыкский (ЮБГПЗ) оказались в руках нефтегазохимической компании ОАО «АК «Сибур», которая не аффилирована с нефтяными компаниями, поставляющими НПГ на эти заводы, хотя переработка НПГ технологически жестко связана с его добычей. Таким образом, в России функционируют 6 рынков НПГ, территориально соответствующих Белозерному, Губкинскому, Муравленковскому, Нижневартовскому, Няганскому, Южно-Балыкскому ГПЗ.

 Покупатель на всех этих рынках НПГ - ОАО «АК Сибур», т.е. на стороне спроса на каждом рынке НПГ существует монопсония. Данные о положении продавцов, действующих на каждом из рынков НПГ, представлены в табл. 2. Там же приведены данные о величине доли продаж НПГ основным продавцом на каждом рынке (включая продажи аффилированных с ним компаний) в общем объеме продаж НПГ на данном рынке.

Таблица 2. Основные продавцы на рынках НПГ.

Рынок Основная нефтяная компания - продавец НПГ Доля продаж основного продавца на данном рынке, %
Белозерный ТНК-БП 72
Губкинский Роснефть 98
Муравленковский2 Лукойл 100
Нижневартовский ТНК-БП 63
Няганский Лукойл 86
Южно-Балыкский Юкос 100

 Источник: www.sibur.ru.

2. Здесь показана только та часть НПГ, которая поступает на данный ГПЗ от

    неаффилированной с Сибуром нефтяной компании.

Из приведенных в табл. 2 данных следует, что на стороне предложения на большинстве рынков НПГ (Губкинском, Муравленковском, Няганском, Южно-Балыкском) фактически существует монополия. На Белозерном и Нижневартовском рынках самый крупный продавец обладает серьезной рыночной силой. Таким образом, российские рынки НПГ можно охарактеризовать как монопольно-монопсонические.

 В соответствии с действующим законодательством, российские рынки НПГ являются регулируемыми. Государство использует механизмы как ценового, так и неценового регулирования рынков НПГ. До 2004 г. эту цену устанавливало Министерство экономического развития и торговли РФ, а с 2005 г. - Федеральная служба по тарифам. Неценовое регулирование осуществляется через выдачу лицензий нефтяным компаниям на недропользование, установление ограничений на сжигание НПГ в факеле, платы за выбросы при сжигании НПГ в факеле, регулирование оптовых цен на сжиженные газы для бытовых нужд населения, уровни устанавливаемых экспортных пошлин на СУГ и пр.

До 2002 г. государство рассматривало рынки НПГ как однородные, вводя для них единую для всех рынков цену НПГ. Так, в 2000 г. была установлена цена 150 руб./тыс. м3 НПГ независимо от условий получения НПГ, его качества и затрат на переработку. Нефтяные компании считали, что этот уровень совершенно недостаточен для покрытия издержек производства НПГ. Учет их доводов привел к повышению цены НПГ до уровня 275–350 руб./тыс. м3 НПГ. В пределах этого диапазона стороны могли договариваться о реальной цене. Однако острота конфликта между участниками рынка НПГ не снизилась: некоторые продавцы НПГ по-прежнему считают, что введенный диапазон цен не позволяет им покрыть издержки производства НПГ, а покупатель доказывал, что цены НПГ слишком завышены и не обеспечивает ему нормальной рентабельности при использовании НПГ как сырья для нефтехимии.

 Существующая в настоящее время методика определения цен (Чернавский, 2002) использует подход, получивший название метода net-back. Цена НПГ рассчитывается от ближайших к НПГ сечений, где существуют рыночные цены СОГ, СГБ и всех СУГ, при условии обеспечения компании-монопсонисту нормальной рентабельности переработки НПГ. Для условий 2002 г., когда мировые цены нефти были достаточно высокими и гипотезой о том, что нефтяные компании, продающие НПГ, имели доходы, достаточные для того, чтобы покрыть разницу между рассчитываемой этими компаниями себестоимостью производства НПГ и ценой НПГ, были выполнены расчеты цен НПГ. Цены рассчитывались в зависимости от суммарного содержания в НПГ высших углеводородов: пропана, бутана, изобутана, пентана, изопентана и гексана. Была разработана и введена в действие шкала цен, в которой параметром является суммарное содержание пропана, бутана, изобутана, пентана, изопентана и гексана в сыром НПГ. Чем выше этот параметр, тем выше оказывалась цена НПГ. При этом не учитывались издержки на производство НПГ, что при изменении мировой конъюнктуры на рынке нефти и существенном снижении доходов нефтяных компаний от продаж нефти могло бы привести к убыткам нефтяных компаний. Одно из направлений преодоления этого методического недостатка - либерализация рынков НПГ и отказ государства от ценового регулирования.

В соответствии с распоряжением правительства России № 908-р «Концепция развития сжиженного газа для бытовых нужд» от 3 июля 2003 г. предполагается “отменить государственное регулирование цен на нефтяной попутный газ”. В докладе анализируются возможные последствия либерализации рынка НПГ.

1. Модель производства и переработки НПГ.

НПГ производится нефтяной компанией в едином технологическом процессе с добычей нефти, а затем перерабатывается нефтегазохимической компанией (НГХК) (см. рисунок 1).

Рисунок 1. Схема производства и использования НПГ.

Нефтяная компания добывает смесь нефти и НПГ в количестве Q, после ее разделения получается нефть и НПГ в количествах и , соответственно. Существуют фиксированные соотношения между объемами нефти и НПГ в их смеси, зависящие от особенностей месторождения нефти:

                                                                               (1)

Пусть издержки добычи скважинной жидкости и ее разделения на нефть и НПГ описываются функцией . Предполагается, что нефть поставляется на конкурентный рынок по цене . Часть НПГ - по трубопроводу поставляется на ГПЗ (или КС, если ГПЗ отсутствует), при этом издержки транспортировки НПГ определяются функцией . Нефтяная компания продает НПГ нефтегазохимической компании по цене . Остальная часть НПГ – (- ) сжигается в факеле. Сжигание НПГ в факеле приводит к загрязнению окружающей среды, удельный ущерб от которого (на единицу сожженного в факеле НПГ) составляет . Нефтяная компания обязана возместить этот ущерб, т.е. заплатить штраф в размере (- ).

Используя НПГ и другие факторы производства (труд, капитал, сырье (помимо НПГ) и материалы), нефтегазохимическая компания производит агрегированный продукт в соответствии с неоклассической производственной функцией, характеризующейся убывающей отдачей от масштаба:

,                                                                                                                    (2)
где x – агрегированный фактор производства нефтегазохимической компании, включающий труд, капитал и т.д., цена которого равна . Предполагается, что производимый нефтегазохимической компанией продукт продается на конкурентном рынке по цене . Таким образом, нефтяная и нефтегазохимическая компании действуют на двух рынках: конкурентных рынках нефти (производимой нефтяной компанией) и агрегированного продукта (производимого нефтегазохимической компанией) и монопольно-монопсоническом рынке НПГ.

2. Анализ последствий либерализации рынка НПГ.

При либерализации рынка НПГ монополии нефтяной компании будет противостоять монопсония нефтегазохимической компании. Предполагается, что участники рынка располагают всей информацией и их поведение некооперативно. Для анализа рынка большое значение имеет размер штрафа за сжигание НПГ в факеле. Если он относительно невелик, а доходы от продажи нефти достаточно высоки, то нефтяная компания может угрожать нефтегазохимической полным прекращением поставок НПГ, оставаясь при этом прибыльной за счет продажи добываемой нефти. Отметим, что в долгосрочной перспективе у нефтяной компании могут быть и другие угрозы в отношении нефтегазохимической компании, например, сооружение собственных ГПЗ или строительство энергетических установок, использующих в качестве топлива НПГ. Так как для нефтегазохимической компании НПГ является основным сырьем, без которого она не может работать, прекращение поставок НПГ означает остановку деятельности нефтегазохимической компании. Таким образом, при указанных выше условиях нефтяная компания будет доминировать на рынке НПГ. Если же размеры штрафа настолько высоки, что это фактически эквивалентно запрету на сжигание НПГ в факеле, то нефтяная компания в относительно краткосрочной перспективе (при условии, что она сама не может использовать НПГ) будет обязана поставлять НПГ нефтегазохимической компании на любых (кроме прекращения деятельности) условиях, что ведет к доминированию нефтегазохимической компании на рынке НПГ.

2.1. Нефтяная компания доминирует на рынке НПГ.

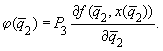
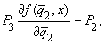
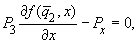
Рассмотрим случай, когда нефтяная компания имеет право сжигать НПГ в факеле, платя при этом относительно невысокий штраф. В этом случае она будет обладать доминирующей рыночной силой, т.е. будет в состоянии задавать цену НПГ. Фактически, этот случай эквивалентен монополии на рынке НПГ. В этих условиях для анализа рынка НПГ необходимо определить функцию спроса нефтегазохимической компании на НПГ. Нефтегазохимическая компания при заданных ценах НПГ - и ценах других факторов производства - предъявляет спрос на НПГ, исходя из максимизации своей прибыли, выражение для которой можно записать в следующем виде:

                                                                                          (3)
а необходимые условия максимума прибыли нефтегазохимической компании -

                                                                                                              (4)

                                                                                                              (5)

Решение системы уравнений (4)-(5) определяет обратную функцию спроса нефтегазохимической компании на НПГ - .

Прибыль нефтяной компании определяется следующим выражением

                                                                 (6)

В соответствии со сделанными выше предположениями нефтяная компания знает функцию спроса нефтегазохимической компании на НПГ. Тогда в условиях своего доминирующего положения на рынке НПГ задача нефтяной компании может быть записана в следующем виде:

                                         (7)

при условии

                                                                                                                              (8)

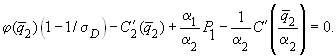
Тогда при необходимые условия максимума прибыли будут иметь вид:

                                                                                        (9)

                                                                             (10)

где λ – множитель Лагранжа, соответствующий ограничению (8). Из (9), (10) определяются оптимальные значения . Легко показать, что . Тогда оказывается, что если , то ограничение (8) выполняется в виде неравенства и, соответственно, λ = 0. Если же , то ограничение (8) выполняется в виде равенства и, соответственно, λ > 0.

Таким образом, если величина штрафа за сжигание НПГ в факеле достаточно велика, а цена нефти и издержки транспортировки НПГ малы, то нефтяная компания поставит нефтегазохимической компании весь производимый НПГ. Если же штраф за сжигание НПГ в факеле сравнительно мал, а цена нефти и издержки транспортировки НПГ достаточно велики, то часть производимого нефтяной компанией НПГ будет сжигаться в факеле.

В случае, когда часть НПГ сжигается в факеле, оптимальные значения определяются из уравнений:

                                                                                            (11)

                                                                                  (12)

где - ценовая эластичность спроса нефтегазохимической компании на НПГ.

В случае, когда весь производимый нефтяной компанией НПГ используется нефтегазохимической компанией, оптимальное значение определяется из уравнения

                                                     (13)

Соответственно, в случае, когда , цена НПГ, устанавливаемая нефтяной компанией, будет равна

                                                                                              (14)

Отметим, что выражение в скобках в правой части (14) соответствует предельным издержкам производства НПГ с учетом штрафа за его сжигание в факеле при условии, что .

Если же , то нефтяная компания установит цену НПГ, равную

                                                             (15)

Заметим, что выражение в скобках в правой части (15) можно рассматривать как предельные издержки производства НПГ при условии его полного использования.

2.2. Нефтегазохимическая компания доминирует на рынке НПГ.

Рассмотрим случай, когда штраф за сжигание НПГ в факеле настолько высок, что это, фактически, эквивалентно запрету для нефтяной компании на сжигание НПГ в факеле, при этом сама компания не имеет других возможностей утилизации НПГ. Это эквивалентно монопсонии на рынке НПГ. В этих условиях нефтяная компания вынуждена поставлять весь производимый ею НПГ нефтегазохимической компании и может изменять объем поставок НПГ нефтегазохимической компании, только изменяя количество добываемой нефти. Тогда доминирующее положение на рынке НПГ будет занимать нефтегазохимическая компания, при этом Определим далее функцию предложения НПГ со стороны нефтяной компании. Ее прибыль будет равна

                                                                        (16)
где цена поставляемого нефтяной компанией НПГ () устанавливается нефтегазохимической компанией. Из условия максимизации прибыли (16) получаем обратную функцию предложения НПГ со стороны нефтяной компании::

                                                              (17)

Зная функцию предложения НПГ со стороны нефтяной компании, определяемую соотношением (17), нефтегазохимическая компания максимизирует свою прибыль

                                                                          (18)

Необходимые условия максимума прибыли нефтегазохимической компании имеют вид

                                                                                (19)

                                                                                                      (20)


где - ценовая эластичность предложения НПГ со стороны нефтяной компании.

Решение системы уравнений (19), (20) определяет оптимальные значения . Тогда цена НПГ, устанавливаемая нефтегазохимической компанией, будет равна

                                                                        (21)

3. Общественная эффективность либерализованного рынка НПГ.

Насколько эффективно функционирование либерализованного рынка НПГ с точки зрения интересов общества? Для ответа на этот вопрос воспользуемся в качестве критерия эффективности уровнем общественного благосостояния W. В него входят излишки потребителей нефти, добытой нефтяной компанией, и агрегированного продукта, произведенного нефтегазохимической компанией, (CS), а также прибыль производителей (). Так как рынки нефти и агрегированного продукта, производимого нефтегазохимической компанией из НПГ, конкурентны, т.е. нефтяная и нефтегазохимическая компании не влияют на цены нефти и агрегированного продукта, производимого НГХК, излишки потребителей нефти и агрегированного продукта нефтегазохимической компании зависят от соответствующих функций спроса и цен, но не зависят от объемов производства нефти нефтяной компанией и агрегированного продукта нефтегазохимической компанией. Тогда выражение для общественного благосостояния будет иметь вид:

                                                                                     (22)

Подставляя (3) и (6) в (22) и используя (1) и (2), получаем

                          (23)

Максимизация общественного благосостояния сводится к решению следующей оптимизационной задачи:

      (24)


при условии

                                                                                                                            (25)

Запишем необходимые условия максимума общественного благосостояния:

                                                                                      (26)

                                                                                    (27)

                                                                                                            (28)


где λ – множитель Лагранжа, соответствующий ограничению (25). Уравнения (26)-(28) определяют общественно оптимальные значения , равные, соответственно, . Используя (28), формулу (27) можно переписать в виде:

                                                                                              (29)

где

                                                                                                (30)

Рассуждения, аналогичные тем, которые были использованы при анализе случая доминирования нефтяной компании, дают возможность получить формулы для случая доминирования нефтяной компании. Если величина велика, а мало, то общественно оптимальные значения определяются из уравнений:

                                                                                                    (31)

                                                                                            (32)

Если мало, а велико, то общественно оптимальное значение , равное , находим из уравнения

                                                                      (33)

Сравнивая (11)-(13) и (31)-(33), получаем, что в случае доминирования на рынке НПГ нефтяной компании:

- если компания может использовать весь производимый ею НПГ, то с точки зрения общественного благосостояния нецелесообразно сжигать НПГ в факеле;

- если с точки зрения общественного благосостояния целесообразно сжигать часть НПГ в факеле, то аналогичной политики будет придерживаться и нефтяная компания.

Следовательно, в условиях существования рынка НПГ для обеспечения максимума общественного благосостояния необходимо установить такую цену НПГ, при которой нефтегазохимическая компания, стремясь к максимизации своей прибыли, будет потреблять общественно оптимальный объем НПГ, т.е.

                                                                                                                  (34)

Если сравнить (12) с (31) и (13) с (33), то оказывается, что общественно оптимальное значение больше, а цена НПГ меньше, чем в случае доминирования нефтяной компании на рынке НПГ, а из сопоставления формул (17), (19) с (33), (34) следует, что общественно оптимальные значения и выше, чем в случае доминирования нефтегазохимической компании на рынке НПГ.

До сих пор при анализе рынка НПГ предполагалось некооперативное поведение его участников. Теперь проанализируем последствия либерализации рынка НПГ в случае, когда возможна кооперация участников рынка НПГ. Из (22), с учетом постоянства излишков потребителей нефти и агрегированного продукта, производимого нефтегазохимической компанией, следует, что условие максимума общественного благосостояния совпадает с условием максимума совокупной прибыли нефтяной и нефтегазохимической компаний. Тогда

                                                                                                       (35)

где - прибыли компаний при общественно оптимальной цене НПГ, - прибыли компаний в случае доминирования какой-либо из компаний на рынке НПГ.

Таким образом, при кооперативном поведении участников рынка в случае использования общественно оптимального объема НПГ совокупная прибыль обеих компаний повышается, что позволяет рассчитывать на максимизацию общественного благосостояния при либерализации рынка НПГ. Распределение прибыли между нефтяной и нефтегазохимической компаниями будет при этом зависеть от условий функционирования рынка НПГ (т.е. от того, какая компания доминирует на рынке).

Анализ полученных формул показывает, что либерализация рынков НПГ, несмотря на их монопольно-монопсонический характер, может быть общественно эффективной.

4. Выводы.

В результате приватизации в России производство и переработка НПГ оказались в руках различных собственников, но при этом сохранились сформировавшиеся во времена плановой экономики жесткие технологические связи между производителями и потребителями НПГ. Это привело к образованию в России нескольких монопольно-монопсонических рынков НПГ. Функционирование этих рынков зависит от того, насколько жестко контролируется возможность сжигания НПГ в факеле. Если штраф за сжигание НПГ относительно невысок, а цена нефти достаточно велика, то доминирующее положение на рынке займет нефтяная компания. Если же величина штрафа за сжигание НПГ в факеле запретительно высока, то на рынке НПГ будет доминировать нефтегазохимическая компания. В обоих случаях при некооперативном поведении участников рынка цена НПГ будет отличаться от общественно оптимальной.

В случае кооперативного поведения участников рынка НПГ можно ожидать общественно оптимального использования НПГ.

Список литературы

Брагинский О.Б. (2004): Мировой нефтегазовый комплекс. М.: Наука.

РСЕ (2004): Российский статистический ежегодник. 2004. М.: Финстат.

Чернавский С.Я. (2002): Разработка концепции государственного регулирования рынков нефтяного попутного газа. М.: ЦЭМИ РАН.

Fasullo P. (2003): US Midstream standing at yet another critical juncture // Oil and Gas J. Vol. 101. № 16.

True W.R. (2003): Rest of Worldwide Continues to Gain Ground on Canada, US // Oil and Gas J. Vol. 101. № 25.

True W.R. (2000): Worldwide Gas Processing Rides // Oil and Gas J. Vol. 98. № 26.

 


версия для печати
 

 

 

 

1. Один из видов таких смесей – широкая фракция легких углеводородов (ШФЛУ), состоящая из пентана, бутана, изобутана, пентана, изопентана, гексана и других высших углеводородов.

                  

 
 

Контакты:

ЦЭМИ РАН 117418, Москва, Нахимовский проспект, 47, комната 1110