Центр ситуационного анализа и прогнозирования ЦЭМИ РАН

Decision Support and Forecasting Center CEMI RAS

 

 

 

 

Аналитика

 

Мировой финансовый кризис: предпосылки, причины, механизмы, последствия
 

Бродский Б.Е.

 

Мировой финансовый кризис, обострившийся осенью 2008 года, застал врасплох большинство высокопоставленных политиков и авторитетных экономистов. Это явно видно по лихорадочным «мерам», изобретаемым для снятия острых симптомов кризиса, по множеству совещаний на высшем уровне, посвященным проблеме кризиса, по разнообразию мнений о причинах кризиса и оценок его экономических последствий. В этой статье сделана попытка разобраться в причинах и механизмах финансового кризиса на основе неравновесной динамической модели, описывающей эволюцию взаимных ожиданий участников рынка и их влияние на динамику финансовых переменных.

1. Хронология кризиса

Первые признаки кризиса обозначились в июле 2007 года на рынке ипотечных кредитов в США, когда 5-й по величине инвестиционный банк Америки, Bear Stearns, заявил о своих убытках в 15 млрд. долл. В августе 2007 года обанкротился другой известный инвестиционный институт США, American Home Mortgage. Эти тревожные сигналы явились прологом к серьезной драме на рынке ипотечных кредитов в США: осенью 2007 года начались проблемы у других инвестиционных банков. В начале 2008 года об серьезных убытках на рынке ипотеки заявили Citygroup и Merrill Lynch.

Для решения этих проблем инвестиционным банкам был предложен пакет финансовой помощи в виде возврата налогов на сумму 145 млрд.долл. Без лишнего шума,
прогоревший Bear Stearns был поглощен банком JP Morgan Chase. А главное, чтобы окончательно затушить все искры финансового пожара, был произведен обмен «плохих» инвестиционных бумаг на казначейские США в сумме 1 трлн. долл.

На удивление этого оказалось мало. С июля 2008 года разразился настоящий кризис ипотеки в США. Были, в сущности, национализированы два крупнейших оператора рынка закладных бумаг: Freddy Mac, Fannie May (c 1936). Монетарные власти с трудом предотвратили банкротство American International Group (AIG), крупнейшей в мире страховой компании, которой был выделен заем в размере 85 млрд. долл.

С сентября 2008 года кризис перешел в острую фазу. В США исчезли все инвестиционные банки: Lehman Brothers обанкротился, Merrill Lynch заявил о том, что продается Bank of America. Два оставшихся инвестиционных банка Morgan Stanley и Goldman Sachs обратились в Федеральный Резерв с просьбой изменить их статус на банковский холдинг. 29 сентября американский фондовый индекс Dow Jones установил рекорд падения за всю свою более чем 100-летнюю историю. За день биржевой показатель опустился 6,98 процента, или 777 пунктов. Это случилось сразу после того, как Конгресс США отказался принимать план по спасению экономики, который предполагал выделение из бюджета 700 миллиардов долларов на приобретение банковских активов. Российские индексы в тот же день опустились на пять-семь процентов.

Практически весь октябрь 2008 года продолжалось падение фондовых индексов на ведущих мировых площадках. Правительства развитых стран принимали экстренные меры по спасению рыночных экономик, включая закачку ликвидности в финансовые системы, национализацию проблемных банков и выкуп «плохих» долгов и «токсичных» бумаг. Российские фондовые индексы РТС и ММВБ потеряли сотни процентов, несмотря на «пожарные» действия по насыщению ликвидностью банковской системы.

Мировые цены на нефть к концу октября упали более чем вдвое по сравнению с июлем 2008 года – до уровня 50-60 долл. за баррель.

2. Причины кризиса

Экономические причины кризиса до сих пор неясны и являются пищей для разнообразных толкований. Так, одна бойкая российская журналистка объяснила все предельно просто, мол, американские банки нараздавали кредитов бомжам, а те отказались платить по закладным. Однако рынок ипотечных кредитов составляет весьма малую долю американского и, тем более, мирового финансового рынка и поэтому финансовая паника, охватившая мир, просто не может объясняться только проблемами ипотечных кредитов.

Существуют и другие, более наукообразные версии причин финансового кризиса. Так, в заявлении Союза «Либеральная хартия» говорится, что «важнейшей причиной этого кризиса является устройство мировой денежно-кредитной системы, порождающей циклически сменяющиеся фазы бумов и крахов. Такую нестабильность создают, прежде всего, современные деньги, которые власти могут выпускать в любых количествах…» Тут уж, как говорится, ничего не попишешь. Власти могут по своему усмотрению запускать и останавливать печатный станок, создавая бумы и крахи – все по желанию начальства. Вряд ли только это объяснение может претендовать на статус научного. Союз «Либеральная хартия» указал нам непосредственных виновников кризиса: «Основными виновниками финансового кризиса стали денежные власти США и европейских стран, проводившие в последние годы политику т.н. «дешевых денег»… Поощрение правительствами кредитной экспансии привело к массированным вложениям в излишне рискованные, неэффективные, неокупаемые проекты». Интересно, а какая альтернатива видится «Либеральной хартии»: «дорогие деньги», высокие кредитные ставки и, как результат, экономический спад? На наш взгляд, это объяснение причин финансового кризиса явно неконструктивно.

Другая причина финансового кризиса, обычно называемая экспертами, связана с процессом глобализации. По мнению Л.Вальдмана, ведущего эксперта по американской экономике, для Америки «глобализация – это, прежде всего, интересный симбиоз США с Китаем, который привел к опустошению промышленных рабочих мест в США в связи с переносом производства в Китай». В результате в Китае растут инвестиции, а в Америке – долги. Добавить к этому рекордный и постоянно растущий дефицит бюджета США – и мы получим картину больной и обремененной долгами экономики. Рано или поздно жизнь американцев в долг, который, по сути, оплачивает весь остальной мир, должна закончиться. Это, по большому счету, и является основной причиной кризиса.

На наш взгляд, это объяснение причин финансового кризиса столь же неконструктивно и фатально. Основное возражение: кризис охватил не только Америку, но и весь мир, включая новые моторы мировой экономики – азиатские страны, фондовые рынки которых буквально рухнули в конце октября. Скорее всего, причина кризиса – не в объективных явлениях цикличности и глобализации, а в скрытых от поверхностного взгляда субъективных факторах в развитии мировой экономики. Проще говоря, кризисы происходят потому, что это кому-то очень выгодно и нужно.

Видимо, следует начать с предыдущего крупного финансового кризиса в США – краха рынка высокотехнологичных компаний (dotcom) в 2000 году. Фактически, это был финансовый «пузырь» в чистом виде: под соусом развития инновационных отраслей в рынок dotcom закачивались огромные финансовые ресурсы, стремительно росла капитализация высокотехнологичных компаний, множились деривативы. В некоторый момент спекулятивная активность на рынке dotcom стала превалировать над инновационной компонентой, и расширение высокотехнологичного производства стало невыгодным. Произошло изменение ожиданий экономических агентов: рынок dotcom стал рассматриваться как источник спекулятивных прибылей, для максимизации которых необходимо минимизировать кредитный риск, неизбежный при освоении новых высоких технологий. Как результат, объемы высокотехнологичного производства стали сокращаться, а цены на продукцию dotcom продолжали стремительно расти. Развитие рынка dotcom быстро уперлось в спросовые ограничения, и в этот момент финансовый «пузырь» рынка dotcom лопнул: спекулятивный капитал стал стремительно покидать рынок dotcom, высокотехнологичные компании столкнулись с нехваткой кредитов.

Период «кредитного сжатия», наступивший в 2001 году, вызвал рецессию в США в 1-м и 3-м кварталах 2001 года. Пытаясь противодействовать этой рецессии, ФРС последовательно понижала ставку по целевым федеральным фондам вплоть до 1-2% к 2004 году. Куда же делся спекулятивный капитал? Он мигрировал именно на рынок ипотечного кредитования. Начиная с 2001-2002 года объемы и цены продажи домов в США росли опережающими темпами. Раскрутка этого рынка происходила во многом за счет «структурной секьюритизации» - принципиально нового способа наращивания капитализации ипотечного рынка. Принцип был очень прост: за счет цепочек вложенных долговых обязательств: ABS (asset backed securities), CDS (credit default swaps), CDO (collateral debt obligations), SPV (special purpose vehicles) – достигалось хеджирование кредитных рисков и быстрое «размножение» деривативов, которые активно и успешно торговались по всему миру за счет высоких инвестиционных рейтингов этих бумаг (subprime securities).

Вместе с тем на рынке недвижимости США в 2005 году произошел существенный перелом: начиная с октября 2005 года объемы продаж домов стали сокращаться, в то время как цены продаж домов продолжали расти. Все это происходило на фоне бурного роста капитализации ипотечного рынка. Причина столь странного изменения характера кривой предложения на рынке недвижимости аналогична изложенной выше для рынка dotcom: в некоторый момент спекулятивная активность на рынке стала превалировать над строительной компонентой, и расширение продаж домов стало экономически невыгодным. Произошло изменение ожиданий экономических агентов: рынок недвижимости стал рассматриваться как источник спекулятивных прибылей, для максимизации которых необходимо минимизировать кредитный риск, неизбежный при предоставлении новых ипотечных кредитов. В 2005 году кривая предложения (S) на рынке недвижимости США стала ниспадающей (Рис.1).
 



Рис.1 Спрос (D) и предложение (S) на рынке недвижимости США


В период 2005-2007 годов происходила эволюция рынка недвижимости вдоль этой кривой: объемы продаж домов продолжали сокращаться, а цены продажи домов росли. Спекулятивный капитал в этот период начал мигрировать на другие рынки, тогда как объемы CDO и деривативов, аккумулируемые инвестиционными банками и компаниями по всему миру, продолжали стремительно расти. С лета 2007 года, как мы видели выше, развитие рынка стало упираться в спросовые ограничения, а в сентябре 2008 года финансовый «пузырь» оглушительно лопнул, вызвав эффект, который сегодня именуется мировым финансовым кризисом.

На Рис.1 можно заметить несколько характерных точек на кривой предложения. Так, точка B характеризует начало неприметного на первый взгляд процесса уменьшения объемов предложения на фоне продолжающегося роста цен. В реальности мы наблюдаем следующую картину: начиная с точки B, «продвинутый» спекулятивный капитал (хедж-фонды) начинает неприметно покидать рынок, тогда как остальная масса «инвесторов» продолжает активно аккумулировать дорожающие финансовые активы, увеличивая тем самым объем «токсичных» бумаг. В точке E финансовый «пузырь» на рынке лопается: развитие рынка начинает упираться в спросовые ограничения, основная масса инвесторов начинает избавляться от «токсичных» бумаг, цены которых стремительно идут вниз. При этом «продвинутый» спекулятивный капитал уже благополучно покинул данный рынок и мигрировал на другие рынки, инициировав на них процессы надувания финансовых пузырей.

Для рынка недвижимости точка B соответствует октябрю 2005 года – моменту начала спада в объемах продаж домов, точка E – сентябрю 2008 года. Покинув рынок недвижимости, «продвинутый» спекулятивный капитал мигрировал на сырьевые рынки (нефть, металлы, продовольствие). Начиная с 2005-2006 годов, мы действительно замечаем скоординированный бурный рост цен на сырьевых рынках (нефть, пшеница, золото), причем примерно с середины 2007 года этот рост цен происходит на фоне снижающихся объемов производства. Финансовый пузырь на рынке нефти лопнул в июне-июле 2008 года, вызвав падение мировых цен на нефть более чем вдвое к октябрю 2008 года.

Обратим внимание на некоторые особенности динамики цен на мировых рынках нефти (Brent) и золота в 2005-2008 годах. Бурный рост цен на этих рынках начался в 2005 году (для нефти несколько раньше – в середине 2004 года) и вышел на некоторое «плато» к середине 2007 года. Этот период представляет собой неприметную точку B в развитии финансовых пузырей на рынках нефти и золота (см. Рис.1). Именно в это время произошло замедление темпов роста объемов мирового предложения нефти и золота. Миновав «плато», цены нефти и золота вновь устремились вверх на фоне некоторого уменьшения объемов предложения нефти и золота в мире. Это период представляет собой отрезок траектории BE (Рис.1) в развитии финансовых пузырей на мировых рынках нефти и золота, который характеризуется стремительным размножением финансовых деривативов. В апреле 2008 года лопнул финансовый пузырь на рынке золота, в июле 2008 года – на рынке нефти (см. Рис.2 и Рис.3, соответственно).
 

Рис.2 Мировая цена нефти Brent (долл./ баррель)
 

 

 

Рис.3 Мировая цена золота (долл. за унцию)

 

Аналогичные закономерности видны в динамике цен мирового рынка зерна в 2005-2008 годов. Для проверки были выбраны цены фьючерсов на рынке зерна. Мы вновь видим, что бурный рост цен начался в середине 2005 года, приостановился в середине 2007 года и возобновился с новой скоростью вплоть до весны 2008 года, когда финансовый пузырь на рынке зерновых лопнул (Рис.4).

 

Рис.4 Цена фьючерса на мировом рынке зерна (долл. за бушель)


Продвинутый спекулятивный капитал к этому моменту уже покинул сырьевые рынки, сосредоточив внимание на валютном рынке. Анекдотичными в этой связи выглядят «титанические» усилия правительств западных стран в сентябре-октябре 2008 года по закачке ликвидности в финансовую систему с целью поддержания уровня кредитования реального сектора. Эта ликвидность попросту аккумулируется продвинутыми инвесторами (хедж-фондами) с целью надувания финансовых пузырей на валютном рынке. В сентябре-октябре 2008 года заметен быстрый рост курса доллар/евро при отсутствии каких-либо фундаментальных факторов, обусловивших укрепление доллара (рецессия в США, разрушительные последствия финансового кризиса). Это означает, что процесс укрепления доллара носит чисто спекулятивный характер и обусловлен скоординированными усилиями мировых хедж-фондов. Нетрудно представить себе последствия схлопывания финансового пузыря на рынке доллара, которое неизбежно произойдет через пару лет: сокрушительный удар по финансовой системе США, начало глубокой мировой рецессии.

Заметим, что объяснение момента «схлопывания пузыря», предложенное журналистами для рынка недвижимости в США («американские бомжи отказались платить по закладным») для сырьевых рынков, очевидно, не работает. Платить за поставки нефти и золота никто не отказывался, просто вступили в силу естественные спросовые ограничения на этих рынках: расширять объемы спроса при «заоблачных» ценах на сырье не нашлось желающих. Это и стало решающим контраргументом против доводов финансовых спекулянтов, ранее убеждавших всех в бурном росте сырьевых рынков. Пузыри на рынках сырьевых товаров стали лопаться один за другим. Объемы «токсичных» бумаг, цены на которые стремительно пошли вниз, превысили все мыслимые ожидания. Разразился мировой финансовый кризис.

3. Механизмы кризиса

Алан Гринспен как-то признал, что этот кризис заставил его пересмотреть свои взгляды на функционирование рынка. Мнение одного из наиболее авторитетных экономистов Америки тем более ценно, что не кто иной, как Гринспен стоял у истоков стимулирующей финансовой политики в США, обеспечившей пятилетний период экономического подъема. Если понимать слова Гринспена буквально, то оказывается, что конвенциальные (неоклассические и неокейнсианские) модели рынка не дают ответа на вопрос о том, каков механизм (микро- и макроэкономический) зарождения и развития финансового кризиса. Проведенный выше анализ причин этого кризиса позволяет нам объяснить, почему эти модели оказываются бессильны в объяснении столь сложных феноменов. Дело в том, что конвенциальные модели постулируют неизменность предпочтений экономических агентов и видят экономическую реальность в терминах рыночного равновесия. Анализируя эволюцию финансового кризиса, мы вновь и вновь убеждаемся в том, что финансовый кризис – это явление принципиально неравновесное, обусловленное непостоянством предпочтений экономических агентов и особой ролью механизмов взаимных ожиданий участников рынка в развитии критических процессов. Поэтому для объяснения механизмов финансового кризиса далее будет построена динамическая модель с переменными предпочтениями экономических агентов и фактором взаимных ожиданий участников рынка, которая позволяет исследовать неравновесную динамику финансового кризиса.

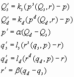
Динамическая модель финансового кризиса, может быть получена на основе моделей экономического обмена, разработанных в [6]. Будем рассматривать два вида благ: целевой актив (недвижимость, нефть, золото, доллар и др.), являющийся экономической основой финансовых операций на данном рынке, и финансовый актив (ценные бумаги, деривативы), связанный с целевым активом. Пусть объем спроса и предложения целевого актива равен, соответственно, , а цена спроса и предложения на целевой актив - . Рыночная цена целевого актива, сложившаяся на данный момент времени , равна . Согласно информационной теории индивидуального выбора [7], цена спроса на целевой актив является функцией от объема спроса на данный актив, а также функцией от других факторов, в числе которых – фактор взаимных ожиданий экономических агентов. Аналогично цена предложения может зависеть как от объема предложения целевого актива, так и от факторов ожиданий на данном рынке. В качестве фактора ожиданий будем рассматривать рыночную цену финансового актива . Действительно, если цена финансового актива растет, то это является сигналом для поставщиков целевого актива о том, что целевой актив востребован рынком и можно увеличить цену его предложения, т.е. . Тогда модель рынка целевого актива имеет вид [6]:

           (1)

В этих уравнениях , причем в локально-оптимальном случае эти коэффициенты являются переменными и зависят от производных функций спроса и предложения по соответствующим объемам (спроса и предложения) (см. [6]), знак означает производную по времени, например, .

Важно подчеркнуть, что рыночная цена финансового актива непосредственно влияет на предпочтения участников рынка целевого актива: с ростом фактора участники рынка – потребители и поставщики целевого актива – полагают, что рынок находится на подъеме и меняют свои предпочтения в сторону увеличения объема спроса и предложения целевого актива.

Аналогично для рынка финансового актива модель имеет вид:

              (2)

В этих уравнениях - объем спроса и предложения финансового актива, соответственно, - цена спроса и предложения финансового актива, - рыночная цена финансового актива, сложившаяся на момент времени ; знак означает производную по времени, например, .

Вновь заметим, что цена спроса на финансовый актив и цена предложения финансового актива зависят как от объема спроса и предложения этого актива, так и от факторов ожиданий инвесторов на данном рынке. В качестве фактора ожиданий в модели выбрана рыночная цена целевого актива . Действительно, если рыночная цена целевого актива растет, то это служит сигналом для инвесторов о том, что рынок целевого актива находится на подъеме и можно увеличить цену спроса и предложения финансового актива. Поэтому . Коэффициенты в общем случае являются переменными и зависят от производных функций спроса и предложения финансового актива по соответствующим объемам (см[6]) Отметим также, что рыночная цена целевого актива непосредственно влияет на предпочтения участников финансового рынка: с ростом цены участники финансового рынка охотнее приобретают финансовые инструменты (деривативы) под данный целевой актив и соглашаются на более высокую цену этих финансовых инструментов.

Таким образом, система уравнений модели, описывающей динамику взаимосвязанных рынков целевого и финансового актива, имеет вид:

          (3)

 



Рис. 5

 

Рассмотрим подробнее, как функционируют рынки целевого и финансового активов. В окрестности точки устойчивого неоклассического равновесия , динамика рынка описывается системой (1). При этом на формирование рыночной цены влияют одновременно факторы спроса и предложения. Рынок финансового актива описывается динамической системой (2), а положение равновесия этого рынка также устойчиво. Процесс зарождения финансового пузыря начинается с притока спекулятивного капитала на рынок финансового актива, приводящего к расширению спроса на рынке финансового актива. Тогда рыночная цена финансового актива будет возрастать, а объем предложения на данном рынке увеличиваться.

Цена финансового актива играет роль фактора ожиданий для рынка целевого актива. Поэтому с увеличением вначале расширяется спрос на целевой актив и растет его рыночная цена . Это оживление спроса и позитивных ожиданий на рынке целевого актива не проходит незамеченным для поставщиков: объем и цена предложения целевого актива начинают увеличиваться. Отметим, что для того, чтобы вывести рынок целевого актива из окрестности равновесного аттрактора необходимо довольно существенное изменение взаимных ожиданий участников рынка. Это изменение ожиданий действительно происходит вследствие огромного притока спекулятивного капитала на рынок финансового актива. В результате существенно возрастает рыночная цена финансового актива и, как следствие, рынок целевого актива покидает окрестность равновесного аттрактора, достигая точки . В точке объем предложения целевого актива существенно превышает объем спроса на этот актив. Этот дисбаланс спроса и предложения на рынке целевого актива возникает именно вследствие влияния фактора ожиданий на предпочтения участников рынка. В самом деле, поставщик целевого актива, ориентируясь на растущие цены целевого и финансового активов, справедливо полагает, что рынок находится на подъеме и следует ожидать дальнейшего расширения спроса на целевой актив. Этот вполне рациональный аргумент приводит к существенному изменению экономического поведения поставщиков целевого актива: они ориентируются, в основном, на фактор ожиданий – цену финансового актива - и в гораздо меньшей степени – на фактор спроса на целевой актив. Так начинает зарождаться пузырь на рынке целевого (и финансового) актива.

Как мы уже видели (см. Рис.1), особенностью этого рынка является немонотонность кривой предложения целевого актива : начиная с точки B, объем предложения начинает сокращаться на фоне растущих цен предложения целевого актива. Почему это происходит? Вновь напомним, что это следует из информационной теории индивидуального выбора: наличие альтернатив на стороне предложения всегда приводит к изменению характера функции предложения [7].

В дальнейшей эволюции рынка ключевую роль играет фактор ожиданий участников рынка целевого актива – цена финансового инструмента . Взаимосвязанные рынки целевого и финансового актива как бы “подпитывают” друг друга через механизм положительной обратной связи: увеличение рыночной цены финансового актива приводит к росту рыночной цены целевого актива , которая, в свою очередь, вызывает дальнейший рост цены финансового актива и т.д. Рынок целевого актива стремительно приближается к точке кризиса , которая характеризуется наивысшим уровнем цены целевого актива и наименьшим объемом предложения этого актива. Далее происходит “схлопывание пузыря”: достигнутое равновесие спроса и предложения быстро распадается в силу его неустойчивости (см. [6]) и цена целевого актива начинает движение вниз вдоль кривой спроса на целевой актив. Этот спад цены целевого актива, в силу эффекта ожиданий, непосредственно сказывается на цене финансового актива, которая также стремительно уменьшается. Так развивается кризис на взаимосвязанных рынках целевого и финансового актива (см. Рис.5).

4. Последствия кризиса

Одним из наиболее очевидных последствий кризиса стал переход к непосредственному вмешательству государства в экономику для большинства развитых стран. “Национализация долгов и приватизация прибылей” - под этим лозунгом осуществляются программы экстренного спасения гибнущих финансовых компаний во всем мире. Столь стремительная измена принципам рыночного либерализма тем более удивительна, что США и Западная Европа ранее настойчиво внедряли эти принципы в странах с переходной экономикой, включая Россию.

Другим последствием стал призыв к “новому Бреттон-Вуду” как одной из главных антикризисных мер, постоянно звучащий на совещаниях руководителей ведущих мировых экономик. Хочется спросить: а почему, собственно, возвращаться только к Бреттон-Вуду, а не, скажем, к каменному веку в финансовой политике? Если серьезно: почему ответом на предельно изощренную систему финансовых деривативов в современной рыночной экономике должен стать переход к на более ранние стадии государственной финансовой политики?

Не следует ли задуматься о радикальном улучшении мониторинга финансовых рынков? В частности, вполне возможно своевременно обнаруживать неприметные B-точки в развитии финансовых пузырей, которые характеризуются началом уменьшения объемов предложения целевого актива (недвижимость, нефть, золото) на фоне бурного роста рыночной цены этого актива. Действительно, представим себе ситуацию, когда B-точка в развитии рынка недвижимости США (октябрь 2005 года) была бы своевременно обнаружена и внесены соответствующие коррективы в финансовую политику, например, ограничен объем деривативов на рынке ипотеки. Тогда финансовый пузырь просто не смог бы развиться до столь угрожающих масштабов, а прибыли хедж-фондов были бы существенно ограничены. То же самое справедливо для сырьевых рынков: если бы правительства получили своевременную информацию о наличии B-точки в динамике мирового рынка нефти (середина 2007 года), то объем финансовых деривативов на рынке нефти мог бы быть существенно ограничен (например, текущей рыночной стоимостью реальных активов) и кризис просто не сумел бы развиться.

Запретительные меры вряд ли будут эффективны. В самом деле, если законодательно запретить деятельность хедж-фондов в мировом масштабе, которые наносят огромный ущерб мировой экономике, то продвинутый спекулятивный капитал тут же найдет для себя иные возможности и лазейки, например, обретет пристанище в инвестиционных отделах крупных банков и страховых компаний.

И наконец, об отдаленных последствиях кризиса. То, что происходит сегодня, в октябре 2008 года, является лишь прологом мирового экономического коллапса, который может произойти через 2-3 года. Коллапса, который можно предотвратить. Сегодня мы наблюдаем лишь первые признаки нового глобального финансового пузыря на валютном рынке, надуваемого усилиями хедж-фондов. В самом деле, растущий без каких-либо фундаментальных причин курс американской валюты и японской йены, все новые пакеты финансовых стабилизационных мер, бросаемые в топку кризиса и приводящие к рекордному росту дефицита бюджета США, продолжение нестабильности на фондовых биржах – все это заставляет задуматься и вспомнить похожие ситуации на рынках недвижимости и сырьевых ресурсов, которые начали складываться пару лет назад и привели к финансовому кризису сегодня. Беда в том, что правительства и мировое финансовое сообщество реагируют на кризисы только постфактум и в пожарном режиме. Надежда на то, что экономическая наука сможет помочь в прогнозировании и предотвращении финансовых кризисов.

Литература

  1. G.Gorton (2008) The Panic of 2007. NBER Working Paper 14358.

  2. Дж. Сорос. Новая парадигма финансовых рынков. «Манн, Иванов и Фербер», Москва 2008.

  3. Дж. Сорос. Эпоха ошибок. Мир на пороге глобального кризиса. «Альпина бизнес Букс», Москва 2008.

  4. Заявление Союза «Либеральная хартия» об экономическом кризисе в России. 27 октября 2008 г. Ежедневный журнал, www.ej.ru

  5. Л.Вальман (2008) Механизмы и последствия финансового кризиса в США. www.polit.ru

  6. Б.Е.Бродский (2008) Модели экономического обмена. Экономика и математические методы, т.44, в.4.

  7. Б.Е.Бродский (2008) Информационная теория индивидуального выбора. М. Ситуационный центр ЦЭМИ РАН.


                                                                                                         

 

назад
 

 
 

Контакты:

ЦЭМИ РАН 117418, Москва, Нахимовский проспект, 47, комната 1110