Центр ситуационного анализа и прогнозирования ЦЭМИ РАН

Decision Support and Forecasting Center CEMI RAS

 

 

 

 

Аналитика

 

Эконометрический анализ влияния факторов бюджетно-налоговой политики на экономический рост в России.
 

Б.Е. Бродский.

 

1. Введение.

Начало XXI столетия отмечено многими новациями в бюджетно-налоговой сфере  России. В 2002 г. вступил в действие новый Налоговый кодекс, предусматривающий резкое снижение налоговой нагрузки на предприятия реального сектора. В 2004 г. создан Стабилизационный фонд, в который попадают сверхдоходы от высоких мировых цен на нефть. Начиная с 2001 г. расширяются масштабы государственного присутствия в российской экономике, что выражается в росте реальных объемов государственных инвестиций в реальный сектор, увеличении доли социальных трансфертов в расходах бюджета, а с 2005 г. – в реализации «национальных проектов» в социальной сфере. Вместе с тем дискуссии об эффективности государственного вмешательства в экономику России продолжаются, а все оценки экономической эффективности тех или иных статей государственных расходов носят приблизительный, «прикидочный» характер. Достаточно вспомнить события, связанные с программой монетизации социальных льгот в России.

К числу новейших инициатив Минфина можно отнести предложение по сдерживанию укрепления рубля посредством снижения «цены отсечения». По логике Минфина, снижение цены отсечения средств в Стабфонд позволит более эффективно стерилизовать избыточную ликвидность и понизить государственные расходы. То есть одним махом Минфин как бы убивает двух зайцев: снижает инфляцию и замедляет укрепление рубля. Дальнейшие макроэкономические блага сыплются как из рога изобилия: снижается импорт, растет российское производство, увеличиваются инвестиции. Одним словом, наконец-то найдено пресловутое «решающее звено» российской макроэкономической политики.

Подобные чудодейственные рецепты экономического роста с удивительной регулярностью возникают в высших эшелонах и аналитических структурах власти в России. Спустя недолгое время они неизменно оказываются «мыльными пузырями», лопающимися от малейшего соприкосновения с реальностью. Проблема, обозначенная в заголовке статьи, действительно сложна. Стандартными рецептами «решающего звена» и монофакторного экономического анализа эта проблема не решается. Причина – в множественности и разнонаправленности факторов, влияющих на экономический рост в России. Учесть эти факторы в динамике их взаимосвязей можно лишь на основе макроэконометрической модели, включающей описание важнейших секторов российской экономики.

2.   З-х секторная модель российской экономики.

Макроэконометрическая модель российской экономики, построенная в этой работе, предназначена для теоретического анализа факторов, влияющих на экономический рост в России. Отличительной особенностью модели является дезагрегирование реального сектора российской экономики на:

  • Экспортно-ориентированный сектор (ЭОС)

  • Внутренне-ориентированный сектор (ВОС)

  • Сектор естественных монополий (ЕМ)

В модели будем использовать следующие обозначения основных переменных:

- уровень цен (базовый индекс)

- реальный выпуск

- агрегированный доход

- коэффициент прямых затрат

- средняя номинальная заработная плата

- мировая (экспортная) цена

- реальный объем экспорта и импорта соответственно

- номинальный объем импорта

- номинальный объем инвестиций

- государственные расходы

- налоговые доходы бюджета

- дефицит (профицит) государственного бюджета

- структурный коэффициент статьи расходов бюджета

- темп инфляции

- номинальный обменный курс валюты (доллар, евро)

- приведенная налоговая ставка

- уровень цен в валюте (базовый индекс)

- структурный коэффициент политики заработной платы

- общая численность населения, количество занятых (с индексом)

- коэффициент эластичности

- временной период

Эти переменные будут далее сопровождаться индексами , обозначающими принадлежность сектору ЭОС, ВОС и ЕМ соответственно, например, - реальный выпуск ЭОС, - уровень цен ВОС. Часто используются двойные индексы, например, - реальный объем поставок промежуточной продукции от сектора ЭОС (первый индекс – откуда?) для сектора ЕМ (второй индекс – куда?). Помимо этих индексов, будут использоваться , обозначающие реальный сектор и импорт, соответственно, а также - доля бюджетных расходов на социальную политику. Двойные индексы переменных обозначают уровень цен в валюте на импортные ресурсы для сектора ЭОС, ВОС и ЕМ, соответственно.

Что входит в каждый сектор? Экспортно-ориентированный сектор (ЭОС) содержит нефтяную, газовую и угольную отрасль, черную и цветную металлургию, химию и нефтехимию, лесной комплекс. Внутренне-ориентированный сектор (ВОС) содержит машиностроение и металлообработку, промышленность стройматериалов, легкую и пищевую отрасль, ЖКХ, сельское хозяйство, пассажирский и коммерческий транспорт. Сектор естественных монополий (ЕМ) содержит электроэнергетику, грузовой железнодорожный и трубопроводный транспорт.

Экспортно-ориентированный сектор (ЭОС)

Будем полагать, что реальный выпуск экспортно-ориентированного сектора складывается из экспортных поставок, а также из поставок продукции для внутренне-ориентированного сектора и сектора естественных монополий:

                      (1)

где Ex - реальный объем экспорта зависит от мировых цен на продукцию ЭОС, а поставки продукции для ВОС и ЕМ связаны с реальным выпуском этих секторов коэффициентами прямых затрат: .

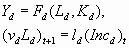
С другой стороны, реальный выпуск экспортно-ориентированного сектора связан с объемом ресурсов труда и капитала моделью производственной функции:

                                    (2)

Для описания взаимосвязей между секторами будем использовать показатель агрегированного дохода, который формируется как разность между доходом от поставок продукции сектора на внешний и внутренний рынок и затратами на поставки продукции от других секторов экономики и импортными поставками. Более точно, агрегированный доход экспортно-ориентированного сектора равен:

                 (3)

где ; затраты на импорт ресурсов и комплектующих для ЭОС: зависят от номинального обменного курса валюты (e) и уровня цен на импортируемую продукцию (), при этом предполагается, что реальный объем импортируемых ресурсов и комплектующих пропорционален реальному объему выпуска сектора ЭОС, а также реальному обменному курсу по отношению к ценам импортируемой продукции, т.е. , где - некоторые положительные структурные коэффициенты; общий объем кредитных ресурсов для ЭОС: складывается из государственных и корпоративных инвестиций в основной и оборотный капитал ЭОС.

Другой характерной чертой модели является введение временного лага в уравнение для заработной платы в ЭОС:

,                          (4)

где - коэффициент корпоративной политики в области заработной платы, - последовательные временные интервалы.

Введение в модель временного лага между агрегированным доходом текущего периода и заработной платой последующего периода позволяет описать характерный поведенческий “паттерн” российских предприятий в 1990-2000 годы: руководители российских предприятий, как правило, сначала формируют баланс доходов и лишь затем решают, какая доля дохода пойдет на заработную плату работникам, на выплату налогов в бюджет, на прибыль и др.

Внутренне-ориентированный сектор (ВОС)

Принцип макроэкономического описания ВОС аналогичен изложенному выше для сектора ЭОС. Вначале рассматривается уравнение для агрегированного дохода ВОС

,                 (5)

где , - номинальный объем импортных поставок для ВОС:

,

- объем инвестиционных кредитов для ВОС.

Затем выписываются уравнения для производственной функции и заработной платы в ВОС:

                     (6)

 

Естественные монополии (ЕМ)

Для сектора естественных монополий уравнение агрегированного дохода принимает следующий вид:

                    (7)

Затем выписываются уравнения для производственной функции и заработной платы в секторе ЕМ:

                    (8)

Сектор домохозяйств

В модели предполагается, что реальный объем потребительских расходов связан с реальными доходами населения моделью кейнсианской потребительской функции:

              (9)

где - коэффициент предельной склонности к потреблению.

Эконометрический анализ этой зависимости на данных российской экономики (использовались месячные данные Госкомстата по доходам и расходам населения за период 1997(1)-2005(12)) показал, что долгосрочный коэффициент эластичности реальных расходов населения по реальным доходам составляет приблизительно 0,90. Это означает, что при описании динамики реальных расходов населения в модели можно использовать классическую кейнсианскую функцию потребления вида , где - коэффициент предельной склонности к потреблению.

В модели также существенна зависимость динамики реальных потребительских расходов с динамикой производства российских потребительских товаров и услуг и динамикой потребительского импорта. Далее предполагается, что реальный объем производства потребительских товаров и услуг в России равен . С другой стороны, реальный объем потребительского импорта пропорционален реальному обменному курсу рубля по импортируемым товарам и услугам. Таким образом,

                        (10)

где - уровень цен на потребительский импорт. Здесь - коэффициент предельной склонности к потреблению импорта.

Номинальные доходы населения складываются из заработной платы в секторах ЭОС, ВОС и ЕМ, а также из суммарного объема социальных трансфертов:

                         (11)

где - численность населения, получающего социальные трансферты, - средняя ставка трансферта.

Особенностью модели является описание особенностей экономического поведения предприятий в секторах ЭОС, ВОС и ЕМ. Мотив извлечения максимальной прибыли от производства характерен для современных российских экономических реалий. В частности, для предприятий сектора ЭОС характерен выбор численности занятых исходя из критерия максимизации прибыли производства:

                  (12)

Отсюда с учетом уравнений (2)-(3) для агрегированного дохода и производственной функции в секторе ЭОС получим:

           (13)

где - эластичность выпуска по труду в секторе ЭОС.

Аналогично для секторов ВЭС и ЕМ получим:

                      (14)

                    (15)

Подставив эти зависимости в уравнение для номинальных доходов населения, из уравнения

                      (16)

получим:

                            (17)

где коэффициенты явно выражаются через все параметры уравнений (11)-(16) и равны с высокой точностью

               (18)

Из уравнений (17)-(18) можно сделать вывод, что рост реального выпуска сектора ЭОС приводит к увеличению выпуска сектора ВОС и, следовательно, к общему экономическому росту в России. Поэтому для изучения факторов, влияющих на экономический рост, необходимо исследовать динамику выпуска экспортно-ориентированного сектора.

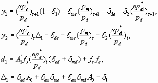
С этой целью воспользуемся уравнениями (3), (4), (13) модели. Поделив обе части (4) на переменную , после алгебраических преобразований получим:

(19)

Обратим внимание, что все переменные, входящие в правую часть уравнения (19), относятся к текущему моменту , тогда как все переменные из левой части (19) относятся к последующему моменту . Экономически их можно трактовать как прогноз и ожидания соответствующих показателей.

Из уравнения (19) можно сделать следующие выводы о характере влияния важнейших факторов и переменных экономической политики на динамику выпуска в экспортно-ориентированном секторе:

  • Рост мировых и экспортных цен на продукцию сектора ЭОС, т.е. рост фактора ведет возрастанию выпуска ЭОС, т.е. показателя

  • Рост ожидаемой инфляции приводит к сокращению выпуска ЭОС. При этом из уравнения (19) следует, что ожидаемая инфляция нелинейно влияет на реальный выпуск.

  • В правую часть (19) входит показатель , где - уровень цен в “твердой валюте” на продукцию ЭОС. Следует отметить, что предприятия ЭОС фактически ориентируются на цены своей продукции в твердой валюте, сравнивая их с экспортными и мировыми ценами на эту продукцию. Поэтому динамика показателя фактически определяется фактором и фактором . Динамика фактора в России весьма близка к динамике реального обменного курса валюты, в силу того, что инфляция в России намного выше, чем в США и Европе. Поэтому из (19) можно сделать вывод, что укрепление рубля в реальном выражении в текущий момент приводит к падению выпуска сектора ЭОС. Это вполне понятно: текущее реальное укрепление рубля приводит к падению конкурентоспособности российской продукции на внутреннем и внешнем рынке

  • Обратим внимание, что тот же показатель входит и в левую часть (19). Поэтому из (19) мы делаем вывод, что рост ожиданий укрепления рубля в реальном выражении приводит, напротив, к возрастанию выпуска сектора ЭОС. Это также вполне объяснимо: сохраняющиеся ожидания реального укрепления рубля заставляют предпринимателей работать в более жестких условиях конкуренции, т.е. принимать решительные меры по модернизации производства, улучшению менеджмента и др. Все это в конечном итоге приводит к росту выпуска ЭОС. Таким образом, если краткосрочный эффект реального укрепления рубля однозначно негативно отражается на динамике производства, то долгосрочный эффект этого укрепления, скорее, позитивен, т.е. выражается в росте выпуска сектора ЭОС и, как следствие, в общем экономическом подъеме. Другими словами, фирмы, “выжившие” в жестких условиях конкуренции, в долгосрочной перспективе закрепляют свои позиции на рынке и успешно конкурируют с импортом.

  • Заметим, что те же рассуждения применимы к показателю , входящему и в левую и в правую часть (19). Этот показатель получил название “дефлированный уровень цен на продукцию естественных монополий”. Как и выше, мы делаем вывод, что рост показателя в текущий момент времени приводит к падению выпуска сектора ЭОС. Однако сохраняющиеся ожидания опережающего роста цен на продукцию естественных монополий, напротив, ведут к росту выпуска сектора ЭОС и общему экономическому росту. Это также объясняется тем, что сохраняющиеся ожидания опережающего роста цен на продукцию естественных монополий заставляют предпринимателей более эффективно расходовать ресурсы, в частности, внедрять энергосберегающие технологии. В конечном итоге эти меры ведут к росту выпуска сектора ЭОС.

  • Для полноты изложения остановимся на других важнейших факторах, влияющих на динамику производства ЭОС. Из уравнения (19) непосредственно видно, что рост реальных кредитов под инвестиции в основной и оборотный капитал ЭОС приводит к увеличению выпуска ЭОС и общему росту экономики. Снижение уровня налоговой нагрузки на предприятия ЭОС также приводит к возрастанию реального выпуска ЭОС и общему росту экономики.

Сделанные выводы представляются довольно существенными для выбора основных направлений и ориентиров макроэкономической политики в России. В 2001-2006 гг. продолжалась активная дискуссия о влиянии реального обменного курса рубля на экономическую динамику в России. Итог этой дискуссии – общее недоумение от альтернативных оценок и различных мнений по этому вопросу. Если директора предприятий реального сектора выступают против быстрого укрепления рубля в реальном выражении, то представители Минфина и Экономической экспертной группы, напротив, усматривают в этом укреплении некие положительные финансовые и макроэкономические аспекты. Приведенная выше модель позволяет дать объективный ответ на поставленный вопрос: в краткосрочном плане, безусловно, правы директора предприятий России, “подавшие челобитную” президенту Путину о вреде чрезмерного укрепления рубля; однако в долгосрочном плане правота представителей Минфина выступает довольно прозрачной. Модель позволяет также интерпретировать эмпирические результаты, полученные Calvo, Reinhart (2000): в странах с низким и средним уровнем развития девальвация национальной валюты не способна приносить долгосрочные позитивные экономические плоды.

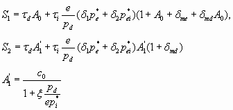
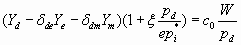
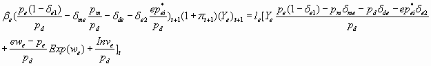
Исследуем теперь динамику государственных расходов. Для этого рассмотрим вначале агрегированный доход в реальном секторе:

,

где - суммарный импорт (комплектующие, сырье, материалы) и привлеченные инвестиции в реальный сектор, соответственно,

, - реальный объем поставок продукции ВОС для населения.

Полученная зависимость для агрегированного дохода позволяет проанализировать основные источники налоговых поступлений в бюджет от реального сектора. Слагаемое - доход от продаж продукции ВОС населению – облагается НДС, единым социальным налогом (ЕСН) и налогом на прибыль (НП), влияние которых в модели будем описывать приведенной ставкой налога . Слагаемое является т.н. “конъюнктурным доходом” реального сектора, который облагается, помимо НДС, ЕСН и НП (ставка ), налогом на добычу полезных ископаемых (НДПИ) и экспортным акцизом. Приведенная ставка этих налогов прямо пропорционально зависит от уровня экспортных цен на продукцию ЭОС (для упрощения в модели будем рассматривать единую налоговую ставку для российского сырьевого экспорта). Поэтому потенциальный объем налоговых поступлений в бюджет от российского экспорта равен: . Однако в реальности все определяется действующим бюджетным законодательством.

Согласно этому законодательству, для обеспечения макроэкономической и бюджетной стабильности в условиях существенной изменчивости мировых цен на российский экспорт (прежде всего, нефти и газа) создан Стабилизационный фонд (далее Стабфонд), в который попадают все налоговые доходы от НДПИ и экспортного акциза при превышении мировой цены на нефть марки Urals т.н. “цены отсечения”. Более точно, объем средств (в валюте), попадающих в Стабфонд, равен:

                  (20)

где - цена отсечения.

Отсюда следует, что в реальности объем средств, поступающих в бюджет от российского экспорта, равен:

                     (21)

Вместе с тем, в настоящее время активно обсуждается идея т.н. “ненефтяного бюджета”, согласно которой весь “конъюнктурный доход” поступает в специальный фонд, откуда потом расходуется на бюджетные нужды в фиксированной пропорции, т.е.

                            (22)

где - приведенная норма расходования конъюнктурного дохода на бюджетные нужды.

Таким образом, объем средств, поступающих в бюджет от российского экспорта, в обоих случаях (Стабфонд и не-нефтяной бюджет) различается лишь величинами ставок .

В свете приближающегося вступления России в ВТО существенную роль в модели играет бюджетный доход от импорта. С учетом приведенных выше уравнений модели суммарный импорт в реальный сектор равен:

                (23)

Для упрощения формальных выкладок в этой работе далее полагаем . Тогда зависимость для суммарного импорта приводится к виду:

                      (24)

где

Отсюда получим сумму бюджетных поступлений от импорта:

,                 (25)

где - ставка импортного акциза.

Агрегируя все статьи бюджетных поступлений, получим следующее выражение для реальных налоговых доходов бюджета:

,              (26)

где

Далее полагаем, что государственные расходы связаны с налоговыми поступлениями в бюджет зависимостью вида:

                          (27)

В уравнении (27) величина трактуется как бюджетный профицит, а - обозначает дефицит государственного бюджета.

Тогда результирующее уравнение для динамики реальных государственных расходов имеет вид:

,       (28)

где

Из этого уравнения видно, что динамика реальных государственных расходов в существенной степени определяется мировой конъюнктурой на рынках российского экспорта, а также реальным выпуском экспортно-ориентированного сектора. Динамика показателя описывается уравнением (19), которое мы представим здесь в следующем виде:

,        (29)

где

Следует дополнительно прокомментировать уравнение (29): коэффициент структурной политики заработной платы в правой части этого уравнения связан с налоговыми ставками и зависимостью вида: , которая отражает следующий содержательный вывод: чем выше базовые ставки налоговых отчислений, тем меньше возможности у предприятий для стимулирования роста заработной платы (то же самое справедливо в отношении нормы амортизации и нераспределенной прибыли).

Уравнения (28)-(29) необходимо рассматривать как двумерную динамическую систему, квази-стационарные состояния которой позволяют описать факторы, определяющие долгосрочное макроэкономическое равновесие в российской экономике. В прикладном аспекте это позволяет выбрать оптимальные параметры бюджетно-налоговой и макроэкономической политики исходя из критерия максимизации агрегированного реального выпуска.

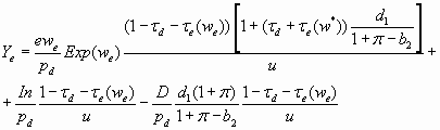
Формально, стерев индексы и у всех переменных в системе (28)-(29) и решив полученную алгебраическую систему из двух уравнений, найдем следующую зависимость для равновесного реального выпуска экспортно-ориентированного сектора:

                      (30)

где,- номинальный объем привлеченных негосударственных (корпоративных, иностранных) инвестиций; , откуда с учетом относительной малости коэффициентов прямых затрат имеем: .

Уравнение (30) позволяет исследовать основные каналы влияния бюджетно-налоговой политики на экономический рост в экспортно-ориентированном секторе, и следовательно, с учетом зависимости (17), и на общую экономическую динамику. В частности, три слагаемых в правой части (30) описывают основные каналы влияния бюджетно-налоговой политики на агрегированный выпуск:

  1. экспорт

  2. инвестиции (привлеченный капитал)

  3. дефицит (профицит) бюджета

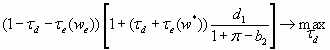
Исследуем факторы, влияющие на динамику выпуска по этим каналам. Понятно, что в современных российских реалиях канал экспорта является преобладающим. Для максимизации реального выпуска по этому каналу необходимо выбрать приведенную ставку налога исходя из следующего критерия:

                     (31)

Из (31) получим выражение для оптимальной налоговой ставки :

                         (32)

Зависимость (32) позволяет сделать следующие выводы об оптимальном уровне налоговой нагрузки на реальный сектор (речь идет о т.н. “базовой” налоговой нагрузке, включающей НДС, налог на прибыль и единый социальный налог):

  • зависимость реального выпуска от базовой налоговой ставки нелинейна и моноэкстремальна: существует оптимальный уровень налоговой нагрузки, обеспечивающий максимум реального выпуска

  • эта оптимальная базовая налоговая ставка существенно зависит от ставки НДПИ и экспортного акциза, которые, согласно действующему Бюджетному кодексу, в свою очередь зависят от уровня мировых цен на нефть и “цены отсечения”. При росте мировых цен на российскую нефть необходимо снижать уровень базовой налоговой нагрузки на реальный сектор. При росте “цены отсечения” необходимо также снижать базовую налоговую ставку .

В целом, можно выделить следующие факторы, влияющие на реальный выпуск экспортно-ориентированного сектора по каналу экспорта:

  1. мировая цена на российскую нефть

  2. Из уравнения (30) следует, что рост мировых и экспортных цен на российскую нефть приводит к увеличению реального выпуска экспортно-ориентированного сектора и, с учетом (17), к общему экономическому росту. Этот вывод – формальный эквивалент известного тезиса о том, что высокие цены на нефть в 2002-2006 гг. были главным фактором экономического роста в России.

  3. “цена отсечения”

  4. Из уравнения (30) непосредственно следует, что увеличение “цены отсечения” приводит к росту реального выпуска ЭОС и, опять же с учетом (17), к общему экономическому росту. Этот вывод гораздо менее тривиален и общепризнан: в недрах Минфина давно зреет “новаторский” проект резкого снижения “цены отсечения” с целью ограничения темпов инфляции и предотвращения быстрого реального укрепления рубля, что, по логике ведущих российских специалистов по макроэкономическому анализу, вроде бы должно вести к оживлению экономической конъюнктуры. Уравнение (30) говорит об обратном: резкое снижение “цены отсечения” приведет к падению реального выпуска ЭОС и общему снижению темпов экономического роста в России.

  5. ожидаемая инфляция

  6. Ожидаемая инфляция оказывает сильный нелинейный эффект на реальный выпуск: существенный рост темпов инфляции приводит к сокращению реального выпуска ЭОС и общему экономическому спаду. Вместе с тем, намечающаяся в России 2007-2008 гг. экономическая политика снижения темпов инфляции до 2-5% в год существенного влияния на экономический рост не окажет.

  7. доля бюджетных расходов на социальную политику

  8. Из уравнения (30) следует, на первый взгляд, парадоксальный вывод о том, что увеличение доли расходов на социальную политику в структуре расходов государственного бюджета повлечет за собой рост реального выпуска ЭОС и общее увеличение темпов экономического роста в России.

  9. доля бюджетных расходов на инвестиции в реальный сектор экономики

Из уравнения (30) следует, что рост государственных инвестиций в реальный сектор и, в частности, в ЭОС приводит к росту реального выпуска.

6) как и ожидалось, реальный обменный курс не оказывает влияния на уровень долгосрочного реального выпуска по каналу экспорта. Чтобы убедиться в этом, рассмотрим первое слагаемое в правой части (30). В силу того, что , фактор в числителе и знаменателе этого слагаемого сокращается, и следовательно, долгосрочное макроэкономическое равновесие с практической точностью не зависит от реального обменного курса рубля по каналу экспорта.

Вместе с тем, реальный обменный курс оказывает значимое влияние на реальный выпуск ЭОС по каналу привлеченного капитала (корпоративные и иностранные инвестиции). Это можно заметить, обратив внимание на второе слагаемое в правой части (30): укрепление рубля в реальном выражении приводит к увеличению реального выпуска ЭОС по каналу привлеченных инвестиций. Анализ (30) позволяет также сделать вывод, что по каналу бюджетного профицита фактор реального укрепления рубля тормозит экономический рост.

Заметим, что уравнение (30) позволяет исследовать экономическую эффективность идеи формирования не-нефтяного бюджета вместо Стабилизационного фонда. С точность до замены фактора , зависящего от цены отсечения , на фактор , обозначающий норму расходования конъюнктурного дохода на экономическое развитие, этот экономический эффект остается прежним. Минфину придется лишь варьировать показатель в зависимости от текущей экономической конъюнктуры. При этом сохраняется высокая вероятность нецелевого использования конъюнктурного дохода.

3. Эконометрический анализ влияния факторов бюджетно-налоговой политики на экономический рост

Многие из зависимостей аналитической модели, рассмотренной выше, имеют “нормативный” характер: например, какова должна быть оптимальная налоговая ставка для обеспечения максимальных показателей экономического роста в зависимости от мировой цены на нефть и “цены отсечения”? В отличие от этих нормативных аналитических зависимостей, в эконометрической модели мы делаем упор на дексриптивных зависимостях, описывающих реальное “положение дел” в российской экономике.

Рассмотренная в предыдущем разделе аналитическая макромодель российской экономики позволяет выявить основные факторы, входящие в спецификацию эконометрических моделей для важнейших показателей экономического роста в России: индекса реального ВВП и индекса физического объема промышленного производства. Как следует из этой макромодели, при эконометрическом анализе целесообразно выделить долгосрочные и краткосрочные факторы экономического роста. К числу долгосрочных факторов следует отнести:

  • факторы внешнеэкономической конъюнктуры, в частности, экспортные цены на российскую нефть

  • факторы ценовой политики в отраслях естественных монополий, в частности, дефлированные тарифы на электроэнергию для конечных потребителей

  • факторы инвестиционной политики – индекс реальных инвестиций в основной капитал

  • факторы налоговой политики, например, доля поступлений по налогу на прибыль предприятий в доходах федерального бюджета

  • факторы бюджетной политики, в частности, доля социальных трансфертов в бюджетных расходах

Последние два фактора являются репрезентативными для бюджетно-налоговой политики в России и, кроме того, тесно связанными с рассмотренной выше аналитической макромоделью российской экономики. Согласно этой модели, снижение приведенной ставки налога на прибыль () может стимулировать экономический рост в среднесрочной и долгосрочной перспективе в том случае, если уровень налоговой нагрузки на реальный сектор чрезмерно завышен (нисходящая ветвь кривой зависимости агрегированного выпуска от налоговой ставки). Увеличение доли социальных трансфертов в расходах государственного бюджета, согласно (30), также приводит к увеличению агрегированного выпуска.

В краткосрочной перспективе динамика агрегированного выпуска зависит от темпов изменения реального эффективного обменного курса рубля, сезонных факторов, а также темпов изменения приведенных выше факторов долгосрочной эконометрической модели.

Остановимся на методологических принципах построения эконометрической модели. Большинство макроэкономических показателей российской экономики являются нестационарными временными рядами, динамика которых в 1990-2000-е годы определялась переходным характером российской экономической политики и нестабильностью мировой конъюнктуры на сырьевых рынках. В чисто эконометрическом аспекте работа с нестационарными временными рядами всегда представляет существенную трудность, поскольку методы эконометрического анализа нестационарных данных начали активно разрабатываться только 10-15 лет назад. К этим методам следует отнести, в первую очередь, методы анализа процессов с единичным корнем (стохастические тренды), методы коинтеграционного анализа и методы анализа структурных сдвигов. Следует отметить, что динамическим рядам по российской экономике 1990-2000х годов присущи как нестационарности типа стохастического тренда, так и структурные сдвиги. В методологическом плане различение различных видов нестационарности данных представляет собой весьма трудную и до конца не решенную задачу, несмотря на обширную эконометрическую литературу по этой проблеме (см., например, обзор Perron (2005)). “Отверточные” принципы эконометрического анализа этих задач, принятые в большинстве современных российских эконометрических исследований, далеко не всегда дают удовлетворительные результаты.

Поэтому в этой работе был принят следующий подход к построению эконометрической модели. Нестационарные временные ряды дифференцируются, т.е. осуществляется переход к их приращениям - последовательным разностям; эти приращения исследуются на стационарность с помощью ADF-теста (расширенный тест Диккей-Фуллера); затем используется методология построения коинтеграционных зависимостей между анализируемыми группами показателей, включающая в себя проверку оцененных остатков на стационарность (тест Давидсона-Мак Киннона), построение долгосрочной коинтеграционной зависимости и ее объединение в модели коррекции регрессионных остатков (“Error Correction Model” - ECM) с моделью краткосрочных флуктуаций анализируемых показателей около некоторой “равновесной динамики”. При этом, долгосрочная коинтеграционная зависимость отражает наиболее существенные долгосрочные и среднесрочные тенденции в динамике исследуемых экономических показателей, а также включает в себя основные факторы, формирующие эти тенденции. В целом же ECM позволяет учесть, кроме упомянутого, краткосрочные эффекты, включая влияние сезонных факторов.

Промышленное производство

Для построения модели были выбраны динамические квартальные ряды данных по следующим показателям за период 1996(1)-2005(4): базисный индекс физического объема производства в промышленности, контрактная экспортная цена на российскую нефть, дефлированный (на базисный индекс потребительских цен) индекс тарифов на электроэнергию для конечных потребителей; доля расходов на промышленность, энергетику и строительство в структуре расходов консолидированного бюджета; доля налога на прибыль организаций в структуре доходов бюджета. Источник данных: Госкомстат.

Выбранные ряды были проверены на стационарность с использованием расширенного теста Диккей-Фуллера (ADF-test). Проверка подтвердила гипотезу нестационарности I(1). Поэтому для построения модели была выбрана двухстадийная процедура Энгеля-Грейнжера построения коинтеграционной модели. На первой стадии строится т.н. “долгосрочная коинтеграция”, описывающая устойчивые тренды в динамике исследуемого показателя – индекса производства в промышленности. На второй стадии эта коинтеграционная модель расширяется до т.н. “модели коррекции остатков” (ECM – error correction model), позволяющей включить в модель краткосрочные флуктуации исследуемого показателя вокруг устойчивых трендов.

Полученная коинтеграционная зависимость по квартальным данным за период 1996(1)-2005(4) имеет следующий вид (в скобках – t-статистика Стьюдента для коэффициента):

log(Ind) = 3.808 + 0.122 log(woil) - 0.175 log(rmon) + 0.064 log(Exreal) - 0.111 log(tprib),

                (16.23)   (2.39)                 (-2.94)                   (2.87)                    (2.88)

где

log - натуральный логарифм;

Ind - базисный индекс физического объема производства в промышленности

woil - контрактная экспортная цена на российскую нефть;

rmon - дефлированный (на базисный индекс потребительских цен) индекс тарифов на электроэнергию для конечных потребителей;

Exreal - доля расходов на промышленность, энергетику и строительство в структуре расходов консолидированного бюджета;

tprib - доля налога на прибыль организаций в структуре доходов бюджета.

Статистические показатели качества этой зависимости: R2=0.70; DW=1.85.

Проверка ряда регрессионных остатков этой зависимости на стационарность с использованием теста Дэвидсона-Маккиннона подтвердила гипотезу стационарности.

Таким образом, долгосрочный коэффициент эластичности индекса промышленного производства по фактору экспортных цен на нефть составляет +0.122; по фактору дефлированных тарифов на электроэнергию: -0.175; по фактору расходов бюджета на реальный сектор экономики +0.063; по фактору налоговой нагрузки на реальный сектор: -0.111. Это означает, что бюджетно-налоговая политика оказывает значимое воздействие на экономический рост в России.

Рис.1. Индекс промышленного производства (lind=log(Ind)) и его расчет по модели (Flind)

Влияние фактора реального обменного курса на динамику промышленного производства в России является, бесспорно, значимым. Этот фактор не был включен в долгосрочную коинтеграцию по простой причине: динамика реального обменного курса формируется в значительной степени под влиянием экспортных цен на нефть и приходится исключить его во избежание эффекта мультиколлинеарности.

Вместе с тем укрепление рубля в реальном выражении оказывает весьма ощутимый макроэкономический эффект: снижение темпов промышленного производства в 2005 году вдвое по сравнению с 2004 годом. Чтобы эконометрически точно рассчитать этот эффект, необходимо расширить построенную коинтеграционную зависимость до модели коррекции регрессионных остатков. Эта модель, построенная для показателя темпов роста промышленного производства, имеет вид (в скобках – t-статистики Стьюдента) :

 

Dlog(Ind) = 0.058 + 0.261 Dlog(Ind(-1)) - 0.178 Rlog(Ind(-1)) + 0.126 Dlog(er(-1)) -   

                   (2.85)   (2.09)                         (-2.48)                        (2.43)

- 0.119 Seas - 0.149 Seas(-1) + 0.059 Seas(-3),

  (-3.02)         (-6.04)                  (2.34)

где

D - оператор взятия последовательных разностей прологарифмированного динамического ряда, т.е. фактически перехода к темпу изменения соответствующего показателя;

R - обозначение ряда регрессионных остатков;

er - реальный обменный курс доллара;

Seas - сезонная дамми-переменная.

Показатели качества этой модели: R2=0.92, критерий Бройша-Годфри на автокорреляцию остатков высокого порядка: AR 1-3F(3,33) = 1.82 - подтверждают ее приемлемое качество.

Проведенный эконометрический анализ позволяет сделать следующие выводы:

  • Долгосрочная эластичность базового индекса физического объема промышленного производства по фактору экспортных цен на нефть составляет 0.12;

  • Чистый эффект влияния реального обменного курса на темпы промышленного производства, измеренный показателем краткосрочной эластичности по данному фактору, составляет -0.126. Отсюда следует, что укрепление рубля в реальном выражении на 1% приводит к снижению темпов промышленного производства (в реальном выражении) на 0.12%.

Рис.2

На Рис.2 приведены графики ряда регрессионных остатков (Residual), коррелограмма этого ряда (Correlogram), а также эмпирическая оценка плотности ряда остатков. Из этих графиков видно, что полученная модель обладает приемлемым статистическим качеством.

ВВП

Представляет существенный экономический интерес исследование влияния реального обменного курса на динамику ВВП. При этом в спецификацию эконометрической модели следует включить реальный эффективный курс рубля к иностранным валютам, который более точно отражает макроэкономический эффект данного фактора. Далее в расчетах использован индекс реального эффективного курса российского рубля к иностранным валютам (1995 г. =100%), rer, рассчитываемый как взвешенное среднее геометрическое индексов реальных обменных курсов рубля к валютам стран - основных торговых партнеров России. Точная методика расчета этого показателя приведена в работе Balassa (1964).

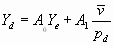
С использованием квартальных данных 1996(1)-2005(4) получена следующая коинтеграционная зависимость для индекса реального ВВП (GDP):

log(GDP) = 2.9154 + 0.1728 log(woil) - 0.1226 log(rmon) + 0.2641 log(Rinv(-4)) - 

                   (16.37)     (5.94)                   (-3.52)                   (5.70)

- 0.1024 log(tprib) + 0.1754 log(Extrans)

   (4.28)                     (2.11)

где

- индекс реального ВВП (Госкомстат)

- индекс инвестиций в основной капитал (Госкомстат)

Extrans - доля социальных трансфертов в структуре расходов бюджета (отношение показателя “социальные трансферты” по данным баланса доходов и расходов населения -к показателю “расходы консолидированного бюджета”)

Рис.3. Индекс реального ВВП (lgdp=log(GDP)) и его расчет по модели (Flgdp)

Показатели качества этой зависимости: R2=0.90, DW=1.81. Проверка ряда регрессионных остатков этой зависимости на стационарность с использованием теста Дэвидсона-Маккиннона подтвердила гипотезу стационарности. Таким образом, долгосрочный коэффициент эластичности индекса промышленного производства по фактору экспортных цен на нефть составляет +0.17; по фактору дефлированных тарифов на электроэнергию: -0.12; по фактору реальных инвестиций в основной капитал: +0.26; по фактору налоговой нагрузки на реальный сектор: -0.10, по фактору расходов на социальную политику: +0.17. Эта зависимость подтверждает тезис о том, что снижение уровня базовой налоговой нагрузки на экономику (конкретно, снижение доли налога на прибыль организаций в структуре доходов государственного бюджета) приводит к оживлению экономической конъюнктуры и росту реального ВВП. Рост доли расходов на социальную политику также положительно сказывается на динамике экономического роста в России.

Для оценки влияния реального эффективного курса рубля на темпы роста ВВП коинтеграционная зависимость была расширена до модели коррекции регрессионных остатков:

Dlog(GDP) = -0.081 + 0.284 Dlog(GDP(-1)) - 0.154 Rlog(GDP(-1)) - 0.072 Dlog(rer(-1)) +

                    (-14.48)   (4.35)                           (-2.51)                          (-2.56)

+ 0.156 Seas(-1) - 0.208 Seas(-2),

  (13.06)              (-22.11)

Показатели качества этой модели: R2=0.95, критерий Бройша-Годфри на автокорреляцию остатков высокого порядка: AR 1-3F(3,33)=1.87 – подтверждают ее приемлемое качество.

Рис.4

На Рис.4 приведены графики ряда регрессионных остатков (Residual), коррелограмма этого ряда (Correlogram), а также эмпирическая оценка плотности ряда остатков.

Из этих результатов следует, что рост реального эффективного курса рубля влечет за собой снижение темпов роста ВВП: эластичность реального ВВП по данному фактору составляет величину -0.07. Мы видим, что отрицательный эффект влияния реального эффективного курса рубля на динамику ВВП выражен весьма слабо, в отличие от влияния этого фактора на динамику промышленного производства. Это объясняется тем, что фактор реального эффективного курса рубля положительно влияет на динамику оборота розничной торговли.

Общий вывод проведенного эконометрического исследования состоит в том, что факторы бюджетно-налоговой политики оказывают существенное воздействие на динамику экономического роста в России. К числу наиболее значимых факторов следует отнести долю расходов на промышленность, энергетику и строительство в структуре расходов консолидированного бюджета, долю налога на прибыль организаций в структуре доходов бюджета, долю социальных трансфертов в структуре расходов бюджета. Эти факторы наряду с основными показателями внешнеэкономической конъюнктуры, ценовой и инвестиционной политики определяют устойчивые среднесрочные тренды в динамике экономического роста в России.

4. Выводы

Опыт и здравый смысл говорят о том, что содержательные выводы порой гораздо полезнее всех “формальных экзерсисов” в экономической науке. Сделаем же несколько выводов из модельного и эконометрического анализа, проведенного в этой работе, которые представляются довольно существенными для макроэкономической политики в России.

Во-первых, в области политики реального курса рубля: укрепление рубля в реальном выражении в 2002-2007 гг. оказывает значимый негативный среднесрочный эффект на динамику промышленного производства в России. Фактически этот важнейший макроэкономический показатель играет роль “селектора” основных отраслей российской экономики: в отраслях, производящих продукцию и услуги для конечного потребления (включая розничную торговлю, строительство, пищевую отрасль), укрепление рубля в реальном выражении приводит к росту выпуска, и напротив, для отраслей, выпускающих продукцию промежуточного потребления, реальное укрепление рубля замедляет экономический рост в среднесрочной перспективе. Долгосрочный эффект реального укрепления рубля на экономический рост, наоборот, позитивен: сохраняющиеся ожидания реального укрепления рубля вызывают потребность в серьезных технологических инновациях, улучшении менеджмента, инвестициях в человеческий капитал для противостояния жесткой конкуренции с импортом продукции и услуг в Россию. С течением времени эти инвестиции стимулируют экономический рост.

В области внешнеэкономической политики: ожидаемое вступление России в ВТО повлечет за собой резкие изменения делового и инвестиционного климата, которые окажут негативный эффект на экономическую динамику в краткосрочной перспективе. Многие российские отрасли промышленности, в частности, российское машиностроение столкнутся с реальной угрозой потери рынков сбыта продукции ввиду роста высокотехнологичного импорта. В целом, в среднесрочной перспективе российская экономика будет функционировать по “ресурсно-отверточной” модели: сохранение высокого мирового спроса на российскую нефть и газ, металлы, лес и удобрения будет стимулировать рост экспорта ресурсных отраслей экономики, а укрепление рубля в реальном выражении – рост импорта машин и оборудования, а также потребительского импорта. В долгосрочной же перспективе вступление России в ВТО принесет желаемые позитивные плоды: развитие передовых технологий и укрепление конкурентоспособности российских товаров вызовут диверсификацию российской экономики и экономический рост.

В области ценовой политики в отраслях естественных монополий: опережающий рост тарифов и цен естественных монополий по сравнению с инфляцией на потребительском рынке приводит к снижению темпов экономического роста в краткосрочной перспективе. С этим связана государственная политика ограничения темпов роста тарифов естественных монополий, проводимая в России с 1999 года. Вместе с тем сохраняющиеся ожидания существенного роста тарифов и цен естественных монополий оказывают положительное воздействие на экономический рост в долгосрочной перспективе, стимулируя предприятия к внедрению энергосберегающих технологий и экономии издержек производства.

В области бюджетной политики: Стабилизационный фонд, созданный в России в 2004 году, сыграл положительную роль в ограничении колебаний курса рубля и снижении темпов инфляции. Основной проблемой, тем не менее, остается определение “цены отсечения”, при превышении которой большая часть доходов от НДПИ и экспортного акциза направляется в Стабилизационный фонд. По логике Минфина, снижение “цены отсечения” должно привести к уменьшению давления петродолларов на реальный обменный курс рубля в сторону его укрепления. Вместе с тем прямой эффект влияния “цены отсечения” на экономический рост в России, по сути дела, игнорируется в расчетах Минфина. Модель, приведенная в этой работе, позволяет утверждать, что гипотетическое существенное снижение цены отсечения повлечет за собой резкое снижение темпов экономического роста в России. Другим предложением Минфина является идея “не-нефтяного бюджета”, суть которой сводится к тому, что весь конъюнктурный доход поступает в специальный бюджетный фонд, из которого потом расходуется на финансирование бюджетных нужд в “особом режиме”. Анализ, проведенный в этой работе, позволяет сделать вывод о том, что в точки зрения стимулирования экономического роста идея не-нефтяного бюджета не дает дополнительных выгод, но представляет определенную опасность ввиду непрозрачного механизма расходования конъюнктурного дохода на экономическое развитие. Как часто бывает, идея прозрачной бюджетной отчетности подменяет собой приоритеты экономического роста в России.

В области налоговой политики актуален вопрос выбора уровня базовой налоговой нагрузки на реальный сектор экономики в зависимости от внешнеэкономической конъюнктуры. Проведенный выше анализ, основанный на дезагрегированной макроэкономической модели, позволяет утверждать, что при росте мировых цен на российскую нефть необходимо снижать уровень базовой налоговой нагрузки на реальный сектор. При росте “цены отсечения” необходимо также снижать базовую налоговую ставку.

В области промышленной и инвестиционной политики представляется, что сложившаяся на сегодняшний день экономическая модель развития обрабатывающих производств в России по принципу “от динамики ресурсных отраслей” безнадежно устарела и не соответствует современным потребностям России. От общих фраз о необходимости “диверсификации экономики” нужно перейти к конкретным инструментам промышленной и инвестиционной политики, направленным на стимулирование роста выпуска обрабатывающих отраслей. Следует признать, что приведенная в работе дезагрегированная макромодель описывает сложившуюся макроэкономическую ситуацию в России. Реализация промышленной и инвестиционной политики, направленной на опережающий рост производства продукции обрабатывающих отраслей, вызовет необходимость серьезной доработки этой макромодели.

В области антиинфляционной политики одним из основных выводов рассмотренной модели является констатация нелинейного воздействия ожидаемых темпов инфляции на экономический рост. Если высокие темпы инфляции (более 15%) оказывают существенное негативное воздействие на агрегированный выпуск, то снижение темпов инфляции до 5-8% годовых не дает значительного прироста выпуска.

В области социальной политики выводы модели и эконометрического анализа оказываются весьма неожиданными: рост доли расходов на социальную политику в структуре расходов государственного бюджета стимулирует рост агрегированного выпуска. Это означает, что в существующих условиях увеличение реального уровня социальных трансфертов влечет за собой эффект расширения реального потребительского спроса и рост реального выпуска экономики, который перекрывает проинфляционные последствия этого инструмента социальной политики.

Литература

  1. С.А.Айвазян, Б.Е.Бродский (2006) Макроэконометрическое моделирование: подходы, проблемы, пример эконометрической модели российской экономики. Прикладная эконометрика, 2, с.85-111.

  2. Р.Дорнбуш, С.Фишер (1997) Макроэкономика. Изд-во МГУ.

  3. А.Вдовиченко, О.Дынникова, В.Субботин (2003) О влиянии реального обменного курса на различные сектора российской экономики. Экономическая экспертная группа.

  4. B.Balassa (1964) The purchasing power parity doctrine: a reappraisal. Journal of Political Economy, v.72, pp.584-596.

  5. А.Бланк, Е.Гурвич, А.Улюкаев (2006) Обменный курс и конкурентоспособность отраслей российской экономики. Вопросы Экономики, 6.

  6. Calvo G., Reinhart C. (2000) Fixing for Your Life, NBER Working Paper 8006.

  7. Frankel J. (2005) Contractionary Currency Crashes in Developing Countries. NBER Working Paper 11508.

  8. Кадочников П. (2006) Анализ импортозамещения в России после кризиса 1998 года. Труды ИЭПП.

  9. Доклад Центра развития по проекту МОНФ “Валютная политика в условиях перехода к устойчивому экономическому росту”, 2001.

  10. Perron P. (2005) Dealing with structural breaks. Paper written for the Handbook of Econometrics.

 

назад
 

 
 

Контакты:

ЦЭМИ РАН 117418, Москва, Нахимовский проспект, 47, комната 1110